3.1 Introduction
A solution is defined as a homogeneous mixture of two or more components (elements or compounds). The components can be solid, liquid or gaseous. The major component (by mass or volume) of a solution is called solvent and the minor component of the solution is called solute. A solution can have more than one solute. Nine different solute- solvent combinations are possible in terms of the states of the matter of the solute and the solvent. An example is given below.
Table 3.1:
Possible solution combinations
Solvent | Solute | Example |
Gas | Gas | Oxygen-helium (deep sea diver’s gas) |
Gas | Liquid | Air-water (moisture in air) |
Gas | Solid | Air-naphthalene (Naphthalene vapor) |
Liquid | Gas | Water-carbon dioxide (Carbonated drink) |
Liquid | Liquid | Acetic acid-water (Common vinegar) |
Liquid | Solid | Water-mixed salt (Sea water) |
Solid | Gas | Palladium-hydrogen (Gas stove lighter) |
Solid | Liquid | Silver-mercury (dental amalgam) |
Solid | Solid | Gold-silver (Gold alloy used in ornaments) |
Liquid-solid, liquid-liquid, gas-gas solutions are one phase systems. A phase is defined as a space in which all the occupying molecules are homogeneously distributed. A homogeneous mixture is defined as a mixture in which the composition of molecules is identical in any and all part of the mixture.
All pharmaceutical solutions have to be bio-compatible, which means that the pharmaceutical solutions have to have such a composition that is conducive to support cells and their growth. Consequently, all pharmaceutical solutions are polar and aqueous. This means that the pharmaceutical solutions have water primary and nearly exclusive as the solvent. The solutes can contain one or more liquids as minor component (solute). For example, some pharmaceutical solutions contain limited amounts of ethyl alcohol, and/or glycerol as additional liquid components in addition to the drug that is solid. But, since these liquid components are not major components, they are also considered solute.
The properties of the solutions (solid mixtures are also called solution by definition) like melting point, boiling point, viscosity (resistance to flow), vapor pressure, solubility, osmotic pressure etc. are often different from those of the solvents. When the solution contains little amount of solute (dilute solution) the difference in these properties between the solvent and the solution are often minute. But, for the concentrated solutions, the difference is often very significant. Further, the small differences in properties can also have serious consequences on the patients’ lives. One such example is the case of osmotic pressure and tonicity of the pharmaceutical solutions (especially large-volume parenteral). Solution properties, thus, need to be studied carefully by pharmacists and pharmaceutical scientists.
3.2 Solubility
Solubility of a solute in a solvent is an important parameter. In the context of pharmaceutical sciences and practice, the solubility of the drug molecules in water is of extreme importance; it determines how much drug can be put in a specific volume of water especially in case of injectable dosage forms. Generally, only a few ml of solution of the drug solution are injected through intravenous bolus injections. The solubility of drug molecules in biological fluids like blood, interstitial fluid, tear etc. determines the drug distribution to different parts of the body and thus, the concentration in the target tissue. Solubility of drug molecules in water (or any solute for that matter in any solvent) also changes with many factors like temperature, polarity, ionization status of other solutes etc. The following equation correlates solubility of solute molecules that are non-electrolytes or weak electrolytes with temperature. The non-electrolytes are the molecules that are made up through covalent bonds and which do not ionize in aqueous solution. Examples of non-electrolytes include glucose, sucrose, glycerol etc. The weak electrolytes are the molecules which ionize only partially in aqueous solutions. Examples of such molecules include carbonic acid (H2CO3), acetic acid (CH3COOH), urea (NH3) etc. Ionization process of the weak electrolytes are shown below.
H2CO3↔H++HCO3–; CH3COOH↔CH3COO–+H+; NH3+H2O↔NH4++OH–
The double headed arrow in each of the above equations mean that the ionization process is a reversable process and is never complete and the solute molecules always exist in partly ionized and partly unionized form.
In this equation, ST1 and ST2 are the initial and final concentrations at temperatures T1 (initial) and T2 (final) respectively where the temperatures T1 and T2 are measured in degrees Kelvin (°K) (273+°Celsius=° Kelvin). The symbol R refers to the universal gas constant that is equal to 1.987 calories*mole-1*degrees K-1. The term (ΔHSoln.) is known as heat of solution or latent heat of solution. ΔHSoln. Is usually measured in calorie per mole i.e. it is the energy that is absorbed by or eliminated from the solute molecules per mole during the dissolution process. Heat of solution can be both positive or negative.
When ΔHSoln. is positive, it means the solute molecules absorb heat for conversion from solute state to the dissolved state and the process is endothermic. In an endothermic dissolution process, the solutes take up heat from the surroundings and the solution becomes cold. The solubility of a solute increases with an increase in temperature if the dissolution process is endothermic. Examples of such solutes include common salts like sodium chloride (NaCl), potassium chloride (KCl), potassium bromide (KBr).
When heat of solution is negative, it means the solute molecules give off heat for conversion from solute state to the dissolved state and the process is exothermic. In an exothermic dissolution process, the solutes give off heat to the surroundings and the solution becomes warm or hot. The solubility of a solute decreases with an increase in temperature if the dissolution process is exothermic. Examples of such solutes include concentrated mineral acids (sulfuric, nitric, hydrochloric acids), and salts like lithium chloride. It is always advised that the concentrated mineral acids are diluted by pouring a small amount of concentrated acid into a large volume of water to prevent hot splashing.
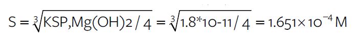
Very strong electrolytes like inorganic salts of metals with higher atomic weight have low solubility in water as water, as a solvent, is not polar enough for the salts to dissociate in it. For those strong electrolytes, the solubility is relatively independent of temperature. The solubility of these salts are calculated with relation to their solubility products (written as Ksp) which is a theoretically (thermodynamically) derived quantity/parameter. The relationship between solubility product Ksp of a strong electrolyte salt and the ionization is expressed by the following equation below.
Ksp = [anion]n * [Cation]n
In this equation m and n are the coefficients of the dissociation equation of the salt. In this equation, the solubility product of the salt equals to the multiplication product of the proportional concentrations of the ions, each raised to its coefficient. The point to be noted is that when the coefficient of the ion is 2, this number is both multiplied to S (the solubility of the solute) and again 2 is used as an exponent. The number 2 is just an example, could be 2 or 4 or any other small, non-zero, integral number.
In this equation, ST1 and ST2 are the initial and final concentrations at temperatures T1 (initial) and T2 (final) respectively where the temperatures T1 and T2 are measured in degrees Kelvin (°K) (273+°Celsius=° Kelvin). The symbol R refers to the universal gas constant that is equal to 1.987 calories*mole-1*degrees K-1. The term (ΔHSoln.) is known as heat of solution or latent heat of solution. ΔHSoln. Is usually measured in calorie per mole i.e. it is the energy that is absorbed by or eliminated from the solute molecules per mole during the dissolution process. Heat of solution can be both positive or negative.
When ΔHSoln. is positive, it means the solute molecules absorb heat for conversion from solute state to the dissolved state and the process is endothermic. In an endothermic dissolution process, the solutes take up heat from the surroundings and the solution becomes cold. The solubility of a solute increases with an increase in temperature if the dissolution process is endothermic. Examples of such solutes include common salts like sodium chloride (NaCl), potassium chloride (KCl), potassium bromide (KBr).
When heat of solution is negative, it means the solute molecules give off heat for conversion from solute state to the dissolved state and the process is exothermic. In an exothermic dissolution process, the solutes give off heat to the surroundings and the solution becomes warm or hot. The solubility of a solute decreases with an increase in temperature if the dissolution process is exothermic. Examples of such solutes include concentrated mineral acids (sulfuric, nitric, hydrochloric acids), and salts like lithium chloride. It is always advised that the concentrated mineral acids are diluted by pouring a small amount of concentrated acid into a large volume of water to prevent hot splashing.
Very strong electrolytes like inorganic salts of metals with higher atomic weight have low solubility in water as water, as a solvent, is not polar enough for the salts to dissociate in it. For those strong electrolytes, the solubility is relatively independent of temperature. The solubility of these salts are calculated with relation to their solubility products (written as Ksp) which is a theoretically (thermodynamically) derived quantity/parameter. The relationship between solubility product Ksp of a strong electrolyte salt and the ionization is expressed by the following equation below.
Ksp = [anion]n * [Cation]n
In this equation m and n are the coefficients of the dissociation equation of the salt. In this equation, the solubility product of the salt equals to the multiplication product of the proportional concentrations of the ions, each raised to its coefficient. The point to be noted is that when the coefficient of the ion is 2, this number is both multiplied to S (the solubility of the solute) and again 2 is used as an exponent. The number 2 is just an example, could be 2 or 4 or any other small, non-zero, integral number.
Example 1 solubility of CaCO3 in water
Example 2 solubility of Mg(OH)2 in water
Resources for further practice
3.3 Ionization of molecules and solubility
3.4 Colligative properties
Colligative properties of solutions are the properties that are quantitatively dependent of on the concentration of the solute particles in the solutions irrespective of the nature or identity of the solute molecules. Four colligative properties like freezing point depression, boiling point elevation, vapor pressure depression and osmotic pressure of the solution are of utmost importance to scientists. Of all the four colligative properties, osmotic pressure is most important to the pharmaceutical scientists and pharmacists. The concentration of particles refers to the concentration of independent entities of solutes that remain in solution. The concentration of particles is commonly measured by osmole (Osm) or milli osmole (mOsm). Osm is equal to concentration of particles of the solutes in molar terms per liter of solution. Colligative properties are the properties of solution. Theoretically speaking, all solutions including aqueous and non-aqueous solutions show colligative properties. But, only the colligative properties, especially osmotic pressure of the aqueous solutions are of significance in the pharmaceutical discipline.
Non-electrolytes are the molecules which do not ionize in aqueous solutions. Examples include glucose (C6H12O6), Naphthalene (C10H8), ethanol (C2H5OH), carbon tetrachloride (CCl4), carbon disulfide (CS2) etc. Since the non-electrolytes do not ionize, one molecule produces one particle in solution and the concentration of these solutes in solution in molar terms are equal to the concentration of particles. So, for non-electrolytes, one mole of the non-electrolytes in solution, produces one Osm of particles in solution.
Strong electrolytes are the compounds which ionize completely (or almost completely) in aqueous or polar solutions. Examples include NaCl, KCl, MgCl2, CaSO4, AlCl3 etc. The ionization pattern of these strong electrolytes and the number of particles that they make in aqueous solutions and a rough estimate of the osmolar concentration of the particles are given below. It is also to be noted that even the strong electrolytes (including sodium chloride) do not always ionize quantitatively in aqueous solutions. Thus, an accurate measurement of osmolar concentration of strong electrolytes need a correction factor which will be covered in a later section in table 7.1.
Weak electrolytes, on the other hand, have the propensity to ionize in an aqueous solution only partially. Their ionization status or extent of ionization depends on other environmental factors like temperature, acidity or basicity (pH) etc. The osmolar concentration of particles of weak electrolytes, thus can be calculated only in a particular pH. Examples of weak electrolytes include weak acids or weak bases or their salts. Most of the drug molecules are weak electrolytes. It is more clinically relevant to calculate the osmolar concentration of drugs and other weak electrolytes in the physiological pH of 7.4. Another practical issue about the drug molecules is that their concentrations in the body fluids are usually so low that their osmolal contribution to the body are usually insignificant. An example of a weak electrolyte phosphoric acid is given below. In this example, 50% the of phosphoric acid remains in unionized form and the other 50% of the phosphoric acid remains in monobasic phosphate form (two particles from one molecule) at pH 2.12. At pH 7.21, 50% of the phosphoric acid remains in monobasic phosphate form and the other 50% of the phosphoric acid remains in dibasic phosphate form (three particles from one molecule). At pH12.67, 50% of the phosphoric acid remains in dibasic phosphate and the other 50% of the phosphoric acid remains in tribasic phosphate form (four particles from one molecule). This example serves the purpose of demonstrating the relationship of the ionization of weak electrolytes to the environment
| Solute | Ionization status | Number of parti- cles/molecule | Molar concentration of molecules | Rough osmolar concentration of particles |
| NaCl | NaCl↔Na++Cl– | 2 | 1 | 2 |
| KCl | KCl↔K++Cl– | 2 | 1 | 2 |
| MgCl2 | MgCl2↔Mg+++2Cl– | 3 | 1 | 3 |
| CaSO4 | – CaSO4↔Ca+++SO4– | 2 | 1 | 2 |
| AlCl3 | AlCl3↔Al++++3Cl– | 4 | 1 | 4 |
i.e. pH (here). We can appreciate from this example how complex the particle concentration calculation (osmolar concentration) for a weak electrolyte can become.
H3PO4 ↔ (at pH 2.12) H2PO4 –+H+ ↔ (at pH 7.21) HPO4—+2H+ ↔ (at pH 12.67) PO4—+3H+
Calculation of particle concentration of a solution is important, it helps us quantitatively determine the extent of osmotic pressure, lowering of freezing point, elevation of boiling point etc.
3.5 Osmotic pressure and tonicity
Osmotic pressure is the pressure exerted by the solute particles in a solution. This pressure is in addition to the hydrostatic pressure that results from the solvent and that is dependent on the depth of a point at which the pressure is being measured in the solution. For example, when a solute like glucose or common salt (NaCl) is added to water, a pressure is generated everywhere in the solution in addition to the hydrostatic pressure of water. This pressure is called osmotic pressure. Osmotic pressure is dependent on the particle concentration of the solute (sugar or NaCl) in osmole or milliosmole and not the identity of the solute i.e. whether the solute is sugar or NaCl. It means that 300 mOsm solution of glucose or NaCl or KCl or MgCl2 or Ca3(PO4)2, all produces the same osmotic pressure because osmotic pressure is a colligative property that depends on the particle concentration of the solutes, not on the property or identity of the solute compound. Osmotic pressure is calculated by the equation:
Π=imRT
where Π denotes the osmotic pressure, i is the van’t Hoff factor (also called the dissociation factor), R denotes the universal gas constant (1.987 Calorie*mole-1*degree Kelvin-1 or 0.082 L*atm*mol-1*K-1) and m stands for the molal concentration of the solute. The molal and molar concentrations of the solute are almost the same for the dilute solution of solutes which is usually the case for the biological fluids of importance. Osmotic pressure is uniform throughout the solution.
Eighty (80) % dissociation of inorganic salts is common but not universal.
It is necessary to understand the idea of a semi-permeable membrane to understand the effect of osmotic pressure on the body and biological fluids. A semipermeable membrane is one which allows the solvents to pass through it but does not allow the passage of some or all of the solutes across. Cellophane paper, cell membrane are some common examples of semi-permeable membranes.
When salt water and pure water are kept in two adjacent chambers that are separated by just a semi-permeable membrane (like cell membrane or cellophane paper), the membrane does not allow the salt ions to pass through from one chamber to another, though the water molecules can freely travel across the semi-permeable membrane. The tendency of movement of molecules from a region of higher concentration to a region of lower concentration is a property of all molecules in solution and is called diffusion. As shown in the diagram below, the left chamber contains salt water, while the right chamber contains pure water. Initially, the height of both the left and right arms of the U-tube are the same, it means that initially the hydrostatic pressure on both arms of the U-tube is same. If this system is allowed to remain undisturbed, the water column in the left arm of the U-tube becomes higher. This happens because of the osmotic pressure due to the presence of salt particles in the left arm of the U-tube. As the osmotic pressure in the left-hand side is high and the salt particles cannot cross over to the right-hand side, water molecules that are free to cross the semi-permeable membrane rush in from the right-arm to dilute the salt water (and decrease the osmotic pressure) to reach equilibrium. The excess water shows up in the left-arm of the U-tube after equilibrium is reached. It is to be understood that not all salt molecules are prevented from crossing the semi-permeable membrane.
Eighty (80) % dissociation of inorganic salts is common but not universal.
It is necessary to understand the idea of a semi-permeable membrane to understand the effect of osmotic pressure on the body and biological fluids. A semipermeable membrane is one which allows the solvents to pass through it but does not allow the passage of some or all of the solutes across. Cellophane paper, cell membrane are some common examples of semi-permeable membranes.
When salt water and pure water are kept in two adjacent chambers that are separated by just a semi-permeable membrane (like cell membrane or cellophane paper), the membrane does not allow the salt ions to pass through from one chamber to another, though the water molecules can freely travel across the semi-permeable membrane. The tendency of movement of molecules from a region of higher concentration to a region of lower concentration is a property of all molecules in solution and is called diffusion. As shown in the diagram below, the left chamber contains salt water, while the right chamber contains pure water. Initially, the height of both the left and right arms of the U-tube are the same, it means that initially the hydrostatic pressure on both arms of the U-tube is same. If this system is allowed to remain undisturbed, the water column in the left arm of the U-tube becomes higher. This happens because of the osmotic pressure due to the presence of salt particles in the left arm of the U-tube. As the osmotic pressure in the left-hand side is high and the salt particles cannot cross over to the right-hand side, water molecules that are free to cross the semi-permeable membrane rush in from the right-arm to dilute the salt water (and decrease the osmotic pressure) to reach equilibrium. The excess water shows up in the left-arm of the U-tube after equilibrium is reached. It is to be understood that not all salt molecules are prevented from crossing the semi-permeable membrane.
3.6.1 Iso-osmotic and iso-tonic, the difference
Polar non-ionic molecules (non-electrolytes) like glucose crosses the semi-permeable membrane. Macromolecules like large proteins (albumen, hemoglobin etc.), long chain nucleic acid molecules (DNA or RNA etc.) and strong electrolytes and ions cannot cross semi-permeable membranes. The molecules that do not cross the semi-permeable membrane causes a permanent osmotic pressure differential across the semi-permeable membrane. The osmotic pressure that is created by the presence of impermeable solutes in the aqueous solution is called tonicity. Tonicity is distinctly different from osmotic pressure. For example, a glucose solution has an osmotic pressure over and above the hydrostatic pressure. But, the same glucose solution does not have any tonicity as glucose is a permeable solute, it quickly equilibrates across the semi-permeable membrane causing no permanent osmotic pressure differential. For example, 5% (w/v) dextrose (D glucose, used in infusions) solution in water is iso-osmotic with 0.9 % (w/v) NaCl solution; both of them have a particle concentration of 298 mOsmole/L, both produces freezing point depression of -0.52°C. But the above two solutions are not isotonic as D5W does not produce a permanent osmotic pressure differential across the semi-permeable membrane (as glucose quickly equilibrates across the semi-permeable membrane), while 0.9 % NaCl solution does produce the permanent pressure differential in the same situation. Saline solution (0.9% sodium chloride solution) is thus both iso-osmotic and isotonic.
Figure 3.1a:
3.6.2 Tonicity & Isotonicity- their importance
Now that we understand the term tonicity (osmotic pressure due to molecules that cannot cross the semi-permeable membranes), it is important to understand the significance of tonicity and isotonicity. Isotonicity refers to the tonicity of the solutions that have the same osmotic pressure (due to impermeable solutes) as those of biological fluids. Isotonic solutions are the solutions that have the same tonicity as that of biological fluids. Tonicity is a noun that refers to the nature of the solutions, while tonic is an adjective and refers to the quantitative aspect of to nicity (extent/magnitude of osmotic pressure due to impermeable solutes). So, an isotonic solution has the same tonicity as that of biological fluids. A hypo-tonic solution is one that has lower tonicity as compared to the biological fluids and a hypertonic solution is one which has higher tonicity than the biological fluids. All biological fluids as well as isotonic solutions have the following nature:
- Osmotic pressure-around: 6.5 atmosphere
- Particle concentration: 290-310 mOsm
- Freezing point depression: 0.52°C
- Sodium chloride equivalent: 0.9 % NaCl
Consequently, all isotonic solutions have the same above properties. All these properties go hand in hand, i.e. an isotonic solution will have roughly 6.5 atmosphere osmotic pressure, particle concentration of around 300 mOsm, freezing point depression of 0.52°C and will produce the same tonicity as 0.9% sodium chloride solution which is isotonic. All hypotonic solutions have osmotic pressure <6.5 atmosphere, particle concentration <300 mOsm, freezing point depression<0.52°C and sodium chloride equivalent <0.9 sodium chloride solution. All hypertonic solutions will have these parameters higher than the numbers for isotonic solutions enlisted above.
Practical significance
The significance of tonicity is that all human and animal cells need roughly the same solution environment to survive and thrive. It is to be noted that all biological fluids do not have the exact same tonicity, but the above numbers are very good practical approximations of isotonic solutions that pharmaceutical scientists and pharmacists should strive to achieve in pharmaceutical solutions. The figure 3.1b describes what happens to cells (example of red blood corpuscles RBC) when they are subjected to treatment with isotonic, hypotonic and hypertonic solutions. The top panel is the schematic diagram of the fate of RBCs following treatment, while the bottom panel shows an actual microscopic picture of the fate of RBCs. In hypotonic solution i.e. plain water without any solute in it, the tonicity is zero. The tonicity and osmotic pressure within RBCs is higher due to high particle concentration as the cells contain a number of solute molecules like proteins and ions. Since these solute molecules cannot cross the cell membrane, water from the outside environment moves into the RBCs making them bigger and rounder. Eventually the RBCs burst open, losing their cellular content, and die. In isotonic solution, there is no large-scale movement of either water or solute molecules across the plasma membrane of the RBCs, and the cells remain healthy and functional. When the RBCs are put into hypertonic solution, the tonicity and osmotic pressure outside the cells are high. Ions cannot cross the plasma membrane of RBCs. Water molecules move out of the RBCs to lower the osmotic pressure in the environment outside the cells. The RBCs lose volume, shrink up and eventually become dysfunctional and die. The same process occurs to every animal/human cell when treated with hypotonic, isotonic and hypertonic solutions, RBCs are just one example used to demonstrate the point. The take home point is that all pharmaceutical solutions, especially large volume parenterals must be made isotonic. Small volume pharmaceutical preparations like injections (<5ml) should also be made isotonic, but they do not have
Figure 3.1b:
a systemic effect since the volume is small and they become isotonic when mixed with large volumes of body fluids like blood. Another point to note is that all pharmaceutical liquids by and large need to be of physiological pH (7.4) especially if they are in large volume. Only in rare cases, injectables are made in a pH that varies from 7.4 to address the inherent instability issues of the drug molecules. If the isotonicity of small volume injections, eye drops, vaginal or rectal preparations are not isotonic, significant irritation and pain may result.
Visualization of the process: https://url.linuslearning.com/DnvRS%20
3.7 Calculations involved and preparation of isotonic solutions
Isotonicity
There are four methods of adjusting isotonicity. Preparations that are meant for use as intra-venous injections or for use in the eye or nasal tract or ear, the liquid must be isotonic with the body fluids. This adjustment of tonicity can be done by any one of four methods. It has to be understood that the drug solutions have some osmotic pressure and tonicity as most of the drug molecules do not cross the plasma membrane though almost any practical drug solution is hypotonic. The solutions are made isotonic by adding a tonicity adjuster solute in the solution. Sodium chloride is the most common tonicity adjuster though other solutes can and have been used in that role. A hypertonic solution can be made isotonic by diluting the solution proportionally with water.
1. Cryoscopic Method of tonicity adjustment:
Van’t Hoff equation explains the relationship between the FPD, the ionization properties and the concentration of the solute.
ΔTf = iKf m = Liso m
values for families of solutes are given below in table 8.2. The total FPD due to a solute can be calculated by using the Van’t Hoff equation. If there is more than one solute present in the aqueous solution, the FPDs caused by each of the solute component are added. Use of Liso or i and Kf in Van’t Hoff equation is a matter of convenience and is determined commonly based on availability of data.
| Compound Type by Valence and ionization | Liso Value |
| Nonelectrolyte | 1.86 |
| Weak electrolyte | 2.0 |
| Di-divalent electrolyte (divalent cation and divalent anion) | 2.0 |
| Uni-univalent electrolyte (single charge on each) | 3.4 |
| Uni-divalent electrolyte | 4.3 |
| Di-univalent electrolyte | 4.8 |
Table 3.2:
Number of Ions, Dissociation Factor (I), and Molecular Weight (MW) of Selected Compounds.
| Ions | i | MW |
Boric acid | 1 | 1.0 | 62 |
Chlorobutanol | 1 | 1.0 | 177 |
Dextrose, anhydrous | 1 | 1.0 | 180 |
Dextrose, H2O | 1 | 1.0 | 198 |
Mannitol Benzalkonium chloride | 1 2 | 1.0 1.8 | 182 360 |
Cocaine HCI | 2 | 1.8 | 340 |
Cromolyn sodium | 2 | 1.8 | 512 |
Dipivetrin HCI | 2 | 1.8 | 388 |
Ephedrine HCI Epinephrine bitartrate | 2 2 | 1.8 1.8 | 202 333 |
Eucatropine HCI | 2 | 1.8 | 328 |
Homatropine HBr | 2 | 1.8 | 356 |
Oxymetazoline HCI Oxytetracycline HCI | 2 2 | 1.8 1.8 | 297 497 |
Phenylephrine HCI | 2 | 1.8 | 204 |
Procaine HCI | 2 | 1.8 | 273 |
Scopolamine HBr 3H2O | 2 | 1.8 | 438 |
Silver nitrate | 2 | 1.8 | 170 |
Sodium chloride | 2 | 1.8 | 58 |
Sodium phosphate, monobasic, anhydrous | 2 | 1.8 | 120 |
Sodium phosphate, monobasic-H2O | 2 | 1.8 | 138 |
Tetracaine HCI | 2 | 1.8 | 301 |
Zinc sulfate-7H2O | 2 | 1.8 | 288 |
Atropine sulfate, H2O | 3 | 2.6 | 695 |
Ephedrine sulfate | 3 | 2.6 | 429 |
Sodium phosphate, dibasic, anhydrous | 3 | 2.6 | 142 |
Sodium phosphate, dibasic 7H2O | 3 | 2.6 | 268 |
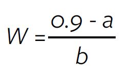
How to use ΔTf for isotonic solution calculations
We can use the empirical formula given below for calculating the mass (in g) of the tonicity adjuster for 100 ml of isotonic solution.
W = weight of tonicity adjuster required for 100 ml of solution isotonic
a = sum total of freezing point depression due to one or more than one drug(s)
b = freezing point depression due to 1% (ΔTf 1%) of the tonicity adjuster
Steps:
- We find out the freezing point depression caused by the given amount of the drug in the prescription in the given volume of water.
- We subtract it from 0.52.
- For the remaining depression in freezing point, we add sufficient sodium chloride, knowing that 1% sodium chloride has a FPD of 0.576 °C.
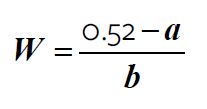
2. Sodium Chloride Equivalent Method:
Method 1 for calculating E value
E = 17 (Liso/MW)
Where E is sodium chloride equivalent value, while M is Molecular Weight, and Liso factor which depends on mass and ionization nature of the solute in water as discussed before.Method 2 of calculating E value
Example of E value calculation of boric acid (weak acid, very little ionization)
How to use E value
w= amount of the tonicity adjuster in g needed for making 100 ml solution isotonic
a-sum total of the E values of all the drugs in 100 ml solution
b-the E value of the tonicity adjuster
If NaCl is used as the tonicity adjuster, which is usually the case, E=1
The steps are:-
- We find the E value(s) of the drug(s).
- We multiply the quantity of the drug in g with its E value (ai=Wi*Ei). Here, Wi is the weight of the ith species of the drug in the prescription and Ei is the sodium chloride equivalent for that ith species of the drug in the prescription. We get the tonic equivalent of the drug(s) in terms of g of sodi um chloride (if there is more than one drug in the solution) represented by a (for three species, a= a1+a2+a3+… etc.) that is equivalent to sodium chloride with respect to osmotic pressure.
- Since, for every 100ml of solution, 0.9g of sodium chloride is required for isotonicity, we subtract the amount obtained in step 2 (a) from 0.9g; let this be y.
- We add y of NaCl, to every 100ml of solution.
Table 3.3:
Sodium Choride Equivalents (E) and Freezing Point Depression (ΔT1%) Values of selected Compounds.
Substance | E | ΔT1% |
Ammonium chloride | 1.08 | 0.64 |
Apomorphine hydrochloride | 0.14 | 0.08 |
Atropine sulfate | 0.13 | 0.07 |
Boric acid | 0.52 | 0.29 |
Chlorobutanol | 0.18 | 0.14 |
Cocaine hydrochloride | 0.16 | 0.09 |
Dextrose monohydrate | 0.16 | 0.0 |
Ephedrine hydrochloride | 0.30 | 0.18 |
Ephedrine sulfate | 0.23 | 0.14 |
Epinephrine bitartrate | 0.18 | 0.11 |
Epinephrine hydrochloride | 0.29 | 0.17 |
Eucatropine hydrochloride | 0.18 | 0.11 |
Fluorescein sodium | 0.31 | 0.18 |
Glycerin | 0.34 | 0.20 |
Naphazoline hydrochloride | 0.27 | 0.16 |
Neomycin sulfate | 0.11 | 0.06 |
Oxymetazoline | 0.20 | 0.11 |
Phenol | 0.35 | 0.2 |
Phenylephrine hydrochloride | 0.32 | 0.18 |
Pilocarpine nitrate | 0.22 | 0.14 |
Procaine hydrochloride | 0.21 | 0.11 |
Scopolamine hydrobromide | 0.12 | 0.07 |
Silver nitrate | 0.33 | 0.19 |
Sodium chloride | 1.00 | 0.58 |
Sulfacetamide sodium | 0.23 | 0.14 |
Tetracaine hydrochloride | 0.18 | 0.11 |
Zinc chloride | 0.62 | 0.37 |
Zinc sulfate 7H₂O | 0.15 | 0.09 |
3. Volumetric approach
In this approach, instead of adding a fixed volume of water, just enough water is added to the required amount of drug(s) to make the solution isotonic by the drug itself.
White – Vincent Method:
In this method, we add enough water to the drug to make the solution isotonic and then we add an isotonic sodium chloride solution to it to bring up the volume to the required level. No tonicity adjuster is required to make the isotonic drug solution in this method as we are using only a restricted amount of water to begin with.
Here, Wi is the weight of the ith species of the drug in the prescription and Ei is the sodium chloride equivalent for that ith species of the drug in the prescription. For example, W1– the weight of drug component 1, E1 is the E value of the drug component 1.
W2– the weight of drug component 2, E2-the E value of the drug component 2
W3– the weight of drug component 3, E1-the E value of the drug component 3
111.1- this is the volume (in ml) of water that is needed to make 1g of NaCl isotonic.
Steps involved are
- Find the weight of the drug prescribed (w), the volume prescribed (v) and its sodium chloride equivalent value (E).
- Multiply the weight (w) with the sodium chloride equivalent value (E) and add up for multiple drugs in the same prescriptions (more than three is rare).
So X is the weight of sodium chloride osmotically equivalent to the given weight W of the drug.
3. The volume V of isotonic solution that can be prepared from W g of drug is obtained by solving the equation
Explanation of the multiplication factor 111.1
For sodium chloride, 0.9 g in 100 ml is isotonic. So, using proportion,
0.9 /100 =X/V or, V= ( X* 100 )/0.9 and V = X * 111.1
So X is the weight of sodium chloride osmotically equivalent to the given weight W of the drug.
3. The volume V of isotonic solution that can be prepared from W g of drug is obtained by solving the equation
(This is the final equation, the above example is given to demonstrate how the multiplication factor 111.1 is derived).
- So V is the volume of solution that contains the prescribed amount of drug and is isotonic with blood. Dissolve W g of drug in V ml of water. This solution is isotonic.
- Usually this drug solution is small in volume, but since the drug solution is isotonic, it can bemixed with normal saline (isotonic) in any proportion, the diluted drug solution is still isotonic.
II Sprawls Method:
The Sprawl’s method is derived assuming that the drug amount in drug is 0.3 g, which is an arbitrary number. The amount of water to make 0.3 g of drug isotonic is calculated first by Sprawl’s method. The amount of water required to make any other amount of drug is then calculated by simple proportioning.
V = 111.1 * 0.3 * E
Disadvantages of Sprawl’s Method
- In this method we make use of the V values which were defined and calculated for many drugs by Sprawl’s. Fixing the W as 0.3g for many drugs, and knowing their E values, he calculated the V values for many drugs. Disadvantage1-volume of water for only one drug can be calculated at a time
- The equation is set up only for 0.3 g of drug, for any other weight of the drug, the volume required needs to be proportioned
Steps :
- Multiply the E value of the drug with 111.1 and 0.3 successively. This is the volume of water that makes 0.3 g of the drug isotonic.
- Proportionate the volume if the prescription calls for any other amount of the drug (other than 0.3 g). Usually this drug solution is small in volume, but since the drug solution is isotonic, it can be mixed with normal saline (isotonic) in any proportion, the diluted drug solution is still isotonic.
Example Problem
The amount of tonicity adjuster required in g for 100 ml of solution using cryoscopic method,
So, to make the required drug solution isotonic, we dissolve 1g of apomorphine hydrochloride and 0.76 g of sodium chloride in 100ml of water.
The amount of tonicity adjuster required in g for 100 ml of solution using sodium chloride method,
So, to make the required drug solution isotonic, we dissolve 1g of apomorphine hydrochloride and 0.76 g of sodium chloride in 100ml of water.
Dissolve 1g of apomorphone hydrocloride in 15.5 ml of water and make up this solution to 100ml with 0.9% sodium chloride solution.
The amount water required to make the solution isotonic by itself using volumetric method
(Sprawl’s)
Water required to make 0.3 g of apomorphone hydrochloride
V = 111.1 * 0.3 * E
or, V = 111.1 * 0.3 * 0.14
or, V = 4.666 ml
Proportionating
Dissolve 1g of drug in 15.5 ml of water and make up the solution to 100ml with 0.9% sodium chloride solution.
References
- Department of Biology | The University of New Mexico. (n.d.). http://biology.unm.edu/
