8.1 INTRODUCTION
Physical behavior of molecules often depends on their surroundings in addition to their own nature. To understand the surroundings, it is important to understand the term ‘phase’. A phase is a three-dimensional space which is homogeneous in terms of its molecular composition. Thus, a glass of water (pure liquid composed of H2O molecules) is a phase, and so is a glass of simple syrup (a 66.7% solution of sucrose in water by weight). Any solution is a phase. Additionally, phases can and do exist in solid, liquid or in gaseous form as long as they have a well-defined boundary and are homogeneous in molecular composition. The surface at which two phases meet is called interface. If a phase exists in vacuum, the boundary of that phase is called surface. Since we live within the atmosphere of earth, any phase that we experience is surrounded by air i.e. the boundary of every phase within the earth’s atmosphere is an interface. The behavior of the molecules at the interface is different from their behavior within the bulk of the phase. This set of behavior of molecules at the interface is collectively called interfacial phenomena. Interfacial phenomena are particularly pronounced in liquid-liquid and liquid-solid interfaces.
Interfacial phenomena are very important for the physical stability of liquid two-phase systems in pharmaceutical formulations. A two-phase system, as the name suggests, is one which contains two phases. For pharmaceutical formulations, the most common and important two-phase systems are emulsions and suspensions. Emulsions contain two immiscible liquid phases (for example aqueous and oil); one of the liquids in emulsion is homogeneously distributed as droplets in another liquid. Suspensions contain a solid phase that exists as fine particles of solid that are homogeneously distributed in a liquid phase. The physical stability of a two-phase system (suspension or emulsion) refers to the homogeneous distribution of one phase into another although the molecular composition of each of the phases may be drastically different.
Two-phase systems are inherently unstable in terms of their physical stability. The study of interfacial phenomena enables practicing pharmacists and pharmaceutical scientists to acquire knowledge about the different types of physical instabilities of two-phase systems and provides means to decrease these physical instabilities so that quasi-stable dosage forms can be designed and prepared as pharmaceutical dosage forms. The physical stability of pharmaceutical dosage forms is important to ensure dose uniformity.
Figure 8.1:
Cohesion and adhesion evident in capillary tube experiments
8.2 COHESION AND ADHESION
Cohesion is a force of attraction between like molecules. Adhesion is a force of attraction between unlike molecules. In figure 8.1 below water and mercury are taken in two different beakers and a glass capillary tube of narrow internal diameter is dipped in each of the beakers. The liquid climbs up the capillary in the beaker containing water. The adhesive force between water and glass molecules are greater than the cohesive forces (among neighboring water molecules in this case) resulting in liquid water climbing up the walls of glass capillary tube. The net adhesive force can be estimated by the height of the water column in the capillary as the weight of the water column exactly neutralizes the adhesive force to bring about the equilibrium. In the beaker containing mercury, the exact opposite happens; the mercury level goes down within the glass capillary compared to outside. In this case, the cohesive force between the mercury molecules is stronger than the adhesive forces between the glass and mercury molecules. The net difference in forces can be estimated by the height difference similarly.
8.3 INTERFACIAL TENSION AND SURFACE TENSION
The molecules at the bulk of a phase experience a cohesive attraction from like molecules from all sides. Thus, there is no net force on the molecules in the bulk of a phase at any particular direction. On the other hand, the molecules at the interface of a phase experience cohesive forces towards the bulk of the phase and adhesive forces away from the phase. The cohesive forces usually are greater than the adhesive forces. The net difference between the cohesive forces and adhesive forces that are at play on the molecules at the interface gives rise to interfacial tension. Interfacial tension is a tension or force that operates on the molecules at the interface along the interface and Interfacial tension is exerted in such a way that it attempts to minimize the interface between the two phases. That is why when the shape of the phase boundary is created predominantly by interfacial tension, as in the case of liquid phases, the shape is always a sphere like the dew drops on grass, the planets (which were molten mass when created) etc. It is to be appreciated that the sphere is a three-dimensional geometrical shape that has the lowest surface area for the volume. When a phase remains in space, it is not in contact with any other phase and there is no interface at the phase boundary. The cohesive forces still exist on the molecules at the edge of the phase. This cohesive force creates a tension at the surface called surface tension. Just like interfacial tension, surface tension is a tensile force that operates on the surface and in such a direction that attempts to minimize the surface of the phase.
Both surface tension and interfacial tensions are tensile forces the magnitude of which depends on the linear distance of the interface/surface along which it operates. Thus, the unit of surface/interfacial tension is force/length = dyne/cm in centimeter-gram-second (CGS) system of measurement and = Newton/meter in meter-kilogram-second (MKS) system of measurement.
Interfacial tension exists between any two phases regardless of the state of matter of the phase. In pharmaceutical applications i.e. in dosage forms, the following interfaces are common:
Solid-gas interface – solid powdered drug suspended in air (insufflation dosage form; examples include opioids and dry-powder inhalers)
Solid-liquid interface- Suspension dosage forms used for both oral and topical route (examples include amoxicillin, azithromycin oral suspension, ciclopirox topical suspension etc.)
Liquid-liquid interface- emulsion dosage form containing two immiscible liquids (examples include oral mineral oil emulsion and injectable Cinvanti® aprepitant injectable emulsion)
Liquid-gas interface- liquid droplets containing dissolved drug suspended in air (examples include budesonide inhalation products and albuterol nebulization products used for chronic obstructive pulmonary disease (COPD))
8.4 INTERFACIAL TENSION AND SURFACE TENSION MEASUREMENT AND APPLICATION
Interfacial tension and surface tension are both defined as force per unit length along the surface/interface that it operates, with the units of Newton/meter or dyne/cm. As shown in Figure 8.2, the simplest measurement tool of interfacial/surface tension is a moving frame with width L. The frame moves from its original position to a new position as it is dipped in a liquid, and taken out from it with the frame remaining in horizontal orientation. In this case there remains two interfaces of liquid and air; one is on top of the frame and one is at the bottom of the frame with the frame in the horizontal position and the length over which the interfacial tension is operated is thus 2L. The frame moves closer to the BC line due to interfacial tension. Total Force F = γ.2.L, where γ is the interfacial tension and γ = F/2L . Many different varieties of tensiometers are available in the market to accurately measure surface and interfacial tensions.
Figure 8.2:
Measurement of interfacial tension
The total work done by the force due to interfacial tension can be calculated as W = γ * ΔA. In this equation, A stands for area and ΔA stands for the difference of area (the area within the frame that decreases due to interfacial tension i.e. area of EKE′K′). The work done W is called Gibb’s free energy. Gibb’s free energy is a measure of instability at the interface. The more the value of Gibb’s free energy, the more the instability at the interface. In terms of thermodynamics, the system of phases attempts to minimize the interface between them by minimizing the area across which the phases meet i.e. the interface. Gibb’s free energy has implications regarding the instability of two-phase systems. For example, in an emulsion or a suspension one phase (liquid or solid phase called the dispersed phase) is finely distributed in another phase (liquid phase called the continuous phase). The smaller the diameter of the liquid droplets in emulsion or solid particles in suspension, the more the overall area of the interface and the more the Gibb’s free energy. High Gibb’s free energy indicates instability at the interface. The interfacial tension always works in the direction so as to minimize the interface. As a result, small droplets or particles in a two-phase system seek to minimize the Gibb’s free energy by decreasing the interfacial area. In emulsion this is only possible by coming together of droplets to make a bigger droplet; a phenomenon called coalescence. In case of suspension also, the coming together of particles to form a bigger particle occurs naturally to decrease Gibb’s free energy. Two phase systems are thus inherently unstable. These systems are made quasi stable in pharmaceutical formulations by using surface active agents.
Figure 8.3:
Wetting
Wetting is the term that is used when the substrate is solid and liquid is added to it. In this case, measuring the angle θ between (γl) and (γsl) is more useful (Figure 8.4). Accurate measurement of contact angle between phases can be carried out by instruments called goniometers. In these cases, Young’s equation is used.
Young’s equation cos θ = Ys-Ysl / Y1
Complete wetting occurs when θ=0° and Cos θ=1. Absolutely no wetting occurs when θ=180° and Cos θ=-1. The reality however is always in between. Some degree of wetting is required to prepare a reasonably stable suspension. Further, it is almost impossible to suspend fine particles in liquid if there is no wetting at all.
8.5 SURFACE ACTIVE AGENTS
Surface active agents (also called surfactants) are the amphiphilic compounds that preferentially distribute themselves at the interface between two phases. These compounds have a polar or even ionized zone (called the polar head) and a nonpolar zone (called non-polar tail) in the same molecule. Since the surfactants have a polar head, they have limited solubility in non-polar organic liquid phases. The non-polar tail of the surfactant limits the aqueous solubility of these molecules. Surfactant molecules though fit in perfectly at the interface by orienting in such way that the polar head interacts with the polar aqueous phase while the non-polar tail interacts with the non-polar phase at the interface. By populating the interface, surfactants decrease the interfacial tension in a two-phase system. Fatty acids, phospholipids (phosphate group attached to a lipid usually through a glycerol molecule) are naturally occurring surfactants. Pharmaceutically acceptable, non-toxic, surfactant family of products like Span®, Tween®, Myrj® are some examples of commercially available surfactants. General structure of surfactants and their distribution in the aqueous phase are shown in Figure 8.5.
As shown in the figure above, surfactants, when added to aqueous phase, first populates the water-air interface (air is the relatively non-polar phase here) in such a way that the polar head groups interact with water while the non-polar tail groups interact with air. If the concentration of the surfactant molecule is continuously increased, all of the interface is occupied by the surfactant molecules and a maximum degree of decrease in interfacial tension is achieved. Further increase in surfactant concentration forces the surfactant molecules into the bulk of the aqueous phase.
Figure 8.4:
(a). General structure of surfactants; (b) micelle formation and critical micelle concentration (CMC)
At this point, surfactant molecules produce self-contained structures within the aqueous phase; these structures are called micelles. The concentration at which micelles start to be formed is called critical micelle concentration (CMC). CMC is a property of the surfactant species for the specific bulk liquid.
The surfactant molecules in micelles in aqueous environment arrange themselves in such a way that polar heads face outward and interact with polar environment and the non-polar tail groups interact with non-polar environment of their own non-polar tails. If the bulk liquid phase is itself non-polar (instead of polar aqueous) the orientation of surfactant molecules is exactly opposite i.e. non-polar tails face outside and interact with the non-polar bulk liquid molecules. Micelles can be single walled, or can have multiple walls. They can also have different shapes including spherical, cylindrical etc. If the bulk liquid contains particles or droplets made up of immiscible liquids, surfactant molecules can arrange themselves around these particles or droplets according to the polarity difference at the interface of these structures. Micelles are colloidal in size i.e. <500 nanometer (nm) in diameter; typically though, the micelles are of only a few nm in diameter.
Micelles formation changes some physical properties of the solution. These changes take place at or just above the CMC for the specific surfactant for the specific liquid phase.
- Interfacial tension decreases with the increase in concentration of the surfactant up to the CMC. Once the CMC is reached, the interfacial tension does not change any more.
- The osmotic pressure of the surfactant solution increases with the increase in surfactant concentration till its CMC is reached. Once the CMC is achieved, the osmotic pressure does not change any more.
- Surfactant solutions are transparent to light at low surfactant concentrations below CMC. Once the CMC is reached, surfactant solutions tend to show turbidity. The turbidity increases with any further increase in surfactant concentration beyond CMC.
- Solubility of small molecules (e.g. drugs) in any phase (polar or non-polar) increases with the increase of surfactant concentration beyond its CMC.
- Electrical conductivity (especially in aqueous phase) decreases with the increase in surfactant concentration beyond its CMC.
These sudden changes in solution properties are expressed in graphical terms below in Figure 8.6.
Figure 8.5:
8.6 HYDROPHILICLIPOPHILIC BALANCE-THE HLB SCALE
It is often difficult to compare the polarity (hydrophilicity or lipophobicity) and non-polarity (hydrophobicity or lipophilicity) of a compound or a phase. An empirical scale called the Hydrophilic-Lipophilic Balance (HLB) scale is developed to quantitatively compare the polarity or non-polarity of a phase or molecule. The HLB scale is used to determine the polarity difference between two phases in a two-phase system like suspension and/or emulsion. Further, this HLB scale is used to determine the appropriate surfactant or surfactant combination that is needed to improve the physical stability of a two-phase system.
Hydrophilic-Lipophilic Balance (HLB) scale is an arbitrary scale composed of numbers used to serve as a measure of overall polarity of molecules especially surfactants. Every functional group in a molecule is assigned a number as per this scale in such a way that the functional group having more polarity is assigned a higher number. Overall HLB value of the compound is sum total of the HLB values of the functional groups in proportions of their abundance in the molecule. The more the HLB value of a molecule, the more polar it is. Figure 8.7 explains the HLB scale in pictorial terms. The HLB scale extends from 0 to more than 40 though a range of 0 to 18 is important for pharmaceutical formulations.
- The surfactants with HLB range of 15-18 are the most polar ones used in pharmaceutical formulation. These surfactants commonly produce micelles in aqueous phase and they have lipophilic core. These surfactants are frequently used as solubilizing agents for lipophilic molecules (like drugs) with limited aqueous solubility.
- The detergents have an HLB value of 13-15. They function as soaps and have limited use in pharmaceutical formulation.
- The surfactants in the HLB range between 8 and 16 are used to stabilize oil-in-water emulsion. They function by decreasing the interfacial tension between oil droplets dispersed in water or aqueous phase.
- Wetting agents are the surfactants that have an HLB value between 7-9. These surfactants are used in making suspensions. They make suspending fine solid particles in liquid phase easier by promoting easier wetting of the solid surface by the liquid phase.
- The group of surfactants, called water-in-oil emulsifying agents, have an HLB value between 3-6 or 3-8. They are frequently used to stabilize water-in-oil emulsions i.e. the emulsions in which water droplets are dispersed in oil phase. As the HLB range suggests, water-in-oil emulsifying agents are more lipophilic, less hydrophilic i.e. less polar than the oil-in-water emulsifying agents.
- The antifoaming agents are the most non-polar surfactants with the HLB range of 2-3. These surfactants are often used to decrease foaming during the formulation manufacturing process. They are mostly used during manufacturing process in pharmaceutical companies and less frequently used in compounding pharmacy
Figure 8.6:
The HLB scale and functions of surfactant molecules of different HLB values.
8.7 ZETA POTENTIAL
The suspended particles in a liquid phase always have a layer of liquid that remains adsorbed to it. Even if the particles are removed from the liquid, the adsorbed layer of liquid is removed along with the particle. The layer up to which the thin layer of liquid remains tightly bound to the solid particle is called the shear plane. The suspended solid particles, especially in aqueous phase, often carry an electrical potential at the surface. Sometimes the solid molecules are themselves ionized. More often though, there non-specific adsorption of small ions at the solid-liquid interface. The electrical charge that often prevails at the shear plane of the solid liquid interface (especially in an aqueous suspension) is called zeta potential. A more detailed characterization of the zeta potential is beyond the scope of this text. Zeta potential can be both positive or negative. Zeta potential can be manipulated by altering the composition of the solute ions of the aqueous solution. Zeta potential is an important factor in determining the physical stability of the suspension.
Figure 8.7:
Zeta potential
8.8 TWO PHASE SYSTEMS IN PHARMACEUTICAL FORMULATIONS-SUSPENSION
A suspension is a two-phase system in which finely divided solid particles are homogeneously distributed in a liquid phase. Suspension is often used as a pharmaceutical dosage form both for oral use and also for topical use. Topical dosage forms are those which are applied on the skin. The site of action of the drugs that are incorporated in topical dosage forms is most often the skin. Sometimes the topical products allow the drug to be released from the dosage form and absorbed to the systemic circulation and function deep within the body. The drugs are used in the suspension form when it has limited solubility in the liquid phase. Antibiotics like amoxicillin and azithromycin have limited water solubility and are often dispensed as oral suspension. Suspensions can also be used as an injectable dosage form in rare cases. Examples include synthetic corticosteroid triamcinolone acetonide (Kenalog®) and betamethasone generic injectable suspension.
8.9 INSTABILITY OF SUSPENSION
8.9.1 Stokes Law of sedimentationeffect of viscosity and particle size
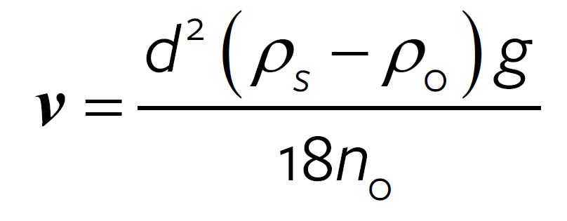
Stokes law of sedimentation is a relationship that is used to predict the rate of sedimentation of dispersion particles or droplets as a function of particle/ droplet size, density difference between the dispersed phase, and continuous phase , the acceleration due to gravity and the viscosity of the dispersed phase. The law is equally applicable to suspensions and emulsions. Stokes Law of sedimentation is expressed by the following equation:
Where, v = velocity of sedimentation (cm/hour etc., works in the same direction of gravitational force; v>0 means particles coming down, v<0 means particles or emulsion droplets going up or floating)
d=diameter of the particle/droplet (cm or micron etc.)
g is the acceleration due to gravity (981cm/sec2)
s ρ = density of suspended material (g/ml etc.)
0 ρ = density of the solvent system (g/ml etc.)
o n= viscosity of the solvent system (poise or centipoise)
Viscosity is the resistance to flow and is a property of the fluids. Low viscosity of a liquid or fluid produces proportionately high flow following the application of the same force. Water is a low viscosity liquid while honey is a high viscosity liquid. When a bottle full of water is inverted, it is emptied rather quickly, the same process takes a very long time if the same bottle is filled with honey and inverted.
Poise =
is a bigger unit of viscosity than centipoise.
Parameters that can be manipulated to improve stability
The parameters that can be readily changed at the time of formulation are particle diameter and the viscosity of the dispersing medium. It is apparent from a cursory look at the equation that the most important parameter determining the velocity of sedimentation is the particle/droplet size as it is a square function. It is thus customary to reduce the particle or droplet size by trituration in mortar and pestle or by the use of homogenizers. The finer the particle, the smaller the d and the lower the velocity of sedimentation.
Another parameter that can be readily manipulated to improve the physical stability of dispersed systems is the viscosity of the dispersing medium. The higher the viscosity, the lower the velocity or rate of sedimentation. The viscosity of a pure liquid at a certain temperature is a material property of the liquid. The dispersing medium is almost never a pure liquid. As the concentration of the solute increases in a solution, the viscosity of the solution increases. This effect is more pronounced when the solute is a macromolecule. Hydrophilic polymers like proteins, starch, modified starches and celluloses like microcrystalline cellulose, hydroxymethyl cellulose, hydroxy-propyl-methyl cellulose etc. are used as solutes as viscosity builders to improve the physical stability of the aqueous dispersed systems. Aqueous dispersed systems are frequently used orally. The dispersed systems containing a continuous phase that is organic are used topically. The organic bases that are used as the continuous medium (dispersing phase) usually have sufficiently high viscosity. If required, non-toxic hydrophobic polymers can be used as viscosity builders for oil-based emulsions and suspensions. Some of the common hydrophilic polymers that are used as viscosity builders are shown below (Figure 8.8).
Figure 8.8:
8.9.2 Problems associated with particle size reduction-aggregation and coalescence
As we know from Stokes law of sedimentation, particle size reduction is an essential step in suspension making. Particle size reduction is achieved by trituration in mortar and pestle or with the help of homogenizers. It is a common observation that even if particle or droplet size is reduced at the time of suspension or emulsion, the particles eventually come together to form aggregates in case of suspension or bigger droplets in case of emulsions. The process is called aggregation in case of suspension and coalescence in case of emulsion.
Aggregation or coalescence can be explained by using the idea of Gibb’s free energy W = γ * ΔA. Smaller particles or droplets create larger area for the same amount of mass. Thus, as particle size is reduced, surface area is increased by the square of the radius and Gibb’s free energy is increased many folds. Higher Gibb’s free energy instills higher physical instability to the two-phase system. The two-phase system tries to decrease the Gibb’s free energy by decreasing the surface area (while interfacial tension remains the same) through aggregation or coalescence. So, aggregation and/or coalescence are natural phenomena that occurs when the particle size of the dispersed phase is reduced beyond a point and it takes place in the absence of a surfactant molecule in the formulation.
This problem is addressed in a well-made suspension or emulsion by decreasing the interfacial tension between the dispersed phase and continuous phase through the introduction of surfactant molecules of appropriate HLB value. The introduction of surfactant in the two-phase system allows the decrease of particle size (decreasing the velocity of sedimentation) without increase of Gibb’s free energy through decrease in interfacial tension.
8.9.3 Caking, flocculation, Zeta potential and suspension instability
The particles of improperly made suspensions come down quickly on standing. The particles accumulate in the bottom of the container and fuse in the shape of a disc. This phenomenon is called caking and the disc is called cake. Caking is an irreversible phenomenon as cakes cannot be properly resuspended with simple shaking. The fusion of neighboring crystals (generally of drug molecules) causes caking and it represents a physical instability of the suspension.
Caking can be avoided by engineering loose aggregates called flocks and the phenomenon is called flocculation. As explained earlier, the suspensions are formulated with an appropriate amount (generally up to 5% (w/w)) of a surfactant with appropriate HLB. The added surfactant localizes at the solid-liquid interface decreasing the interfacial tension as well as Gibb’s free energy while they partially cover the suspended crystals. In the presence of an appropriate surfactant, the suspended crystals make loose reversable aggregates called flocks. Flocks occupy much larger overall volume than cakes and flocculated suspensions revert to homogeneous state by simple shaking. The homogeneity in the formulation ensures dose uniformity (same mg of the drug with each ml of the suspension or emulsion). The auxiliary label of “shake well before use” is used with suspensions and also emulsions as a direction to the patients. Degree of flocculation (β) is a measure of physical stability of the suspension; the higher the value of (β), the more stable and well made is the suspension.
β = Vu/Vo , where Vo is the original volume of the suspension when made and Vu is the ultimate volume of the flock on standing. In case of deflocculated suspensions, the value of β is very low. The value of β is reasonably higher in a well-made flocculated suspension. It is to be noted that the value of β>1 is also possible as Flocculated suspension can swell over time and Vu can be much more than . Vo
The zeta potential of the suspended drug particles is another source of instability in a counter-intuitive way.
Figure 8.9:
Malvern.com & Alfred Martin 6th Edition
8.9.4 Ostwald’s Ripening
Ostwald’s ripening is a phenomenon by which the suspended particles increase in size on standing over a long period of time when the storage temperature goes through large diurnal or cyclic change. The solubility of the suspended drug molecules increases with the increase in temperature in general. As a result, some of the drug dissolves from suspended crystals. With subsequent decrease in temperature, part of the dissolved drug precipitates on the existing suspended particles – increasing the particle size. As the particles grow continuously bigger in size, the physical stability is affected, and suspended drug particles precipitate quickly leading to caking. The auxiliary label “Keep in a cool and dry place” is used to help the patients to avoid this type of complications.
8.9.5 Making of suspension
Making of a stable suspension typically involves the following steps.
- The amount of active ingredient is calculated and weighed accurately.
- Appropriate wetting agents are added. Surfactants with HLB between 7-9, at a concentration of 1-2% (w/w) are generally used as wetting agents.
- The content is triturated in mortar and pestle in a traditional compounding pharmacy. The goal of trituration at this stage is to make a homogeneous mixture.
- Appropriate surfactant is added in a concentration of (≤5% w/w). The surfactants decrease the interfacial tension, and partially cover the suspended particles resulting in controlled flocculation.The content is triturated. The goal of trituration at this stage is particle size reduction. A homogenizer can be used if available.
The content is triturated. The goal of trituration at this stage is particle size reduction. A homogenizer can be used if available.
- Solvent containing polymer (viscosity builder) is added in geometric dilution. Small equal amount is mixed at a time in geometric dilution.
- The final volume is made up and put into a container.
- Appropriate auxiliary labels like “Shake well before use” and “keep in a cold and dry place” should be used as appropriate.
How to make a pharmaceutically acceptable suspension.
8.10 TWO PHASE SYSTEMS IN PHARMACEUTICAL FORMULATIONS-EMULSION
An emulsion is a two-phase system in which very small droplets of a liquid phase are homogeneously suspended or dispersed in another immiscible liquid phase. The phase in the form of suspended droplets is called the dispersed phase, while the liquid phase in which the droplets are suspended is called the continuous phase. In a situation where the dispersed phase is water and the continuous phase is non-polar organic, the emulsion is called water-in-oil (w/o) emulsion. The opposite composition in which fine droplets of oil is homogeneously suspended in water is called an oil-in-water (o/w) emulsion. Since most of the (w/o) emulsion is oil and thus non-polar; such emulsions have less polarity. Water-in-oil emulsions need water-in-oil emulsifying agents (surfactants) with less polarity or HLB range (3-8) to stabilize them.
Most of the content of oil-in-water emulsions is water, and thus polar; such emulsions have more polarity. Oil-in-water emulsions need oil-in-water emulsifying agents (surfactants) that have higher polarity i.e. have higher HLB range (8-16). The emulsions for oral use are oil-in-water type while the emulsions for topical use are water-in-oil type. In special cases, emulsions can be used in injectable dosage form. Examples include antibiotic amphotericin B emulsion (Amphomul®) and general anesthetic propofol emulsion (Diprivan®).
Figure 8.10:
Types of emulsions
8.11 EMULSION INSTABILITY
Emulsions have the same instability issues as the suspensions. The velocity of sedimentation is the most important indicator of physical instability for emulsion also; with low velocity of sedimentation indicating high stability and high velocity of sedimentation indicating low stability. The Stokes law of sedimentation i.e.
applies in this case too. Densities of oil phases in most cases are lower than the aqueous phase. That is why the oil droplets in a (o/w) emulsion might move vertically up (-ve value of v) instead of going down, and the oil droplets may migrate to the top of the two emulsions in this case. This phenomenon is called creaming instead of sedimentation. As in the case of suspension, a decrease in the diameter of droplets decreases v by square units. The viscosity of the continuous phase impacts the physical stability in the same manner i.e. high viscosity of the continuous phase results in low velocity of sedimentation or creaming and this means higher physical stability of the emulsion. Fusion effect (coalescence) of the dispersed droplets of emulsion is more pronounced than the aggregation in case of the suspension. The extent of the tendency for coalescence of the emulsion droplets is described by Gibb’s free energy .w A γ = =Δ
Decrease in diameter of emulsion droplets is required for decreasing the velocity of sedimentation. But, it also means more surface area per unit mass of the dispersed phase resulting in more Gibb’s free energy and more tendency for the droplets to come together (coalescence). The solution to this problem is to decrease the interfacial tension (γ) at the water-oil interface by the use of appropriate surfactants.
Emulsion instability-differences with suspension
Interfacial phenomena in a liquid-liquid interface is much better understood. Selection of an appropriate surfactant is done on a scientific basis based on HLB system. Water-in-oil (w/o) emulsions have a lower HLB value range of 3-8. Oil-in-water (o/w) emulsions have a higher HLB value range of 8-16. In addition to the surface active agents, the oil phase has its own HLB value (called the required HLB; RHLB) for both (w/o) and (o/w) emulsion. The RHLB value of the oil phase is based on the composition of the oil phase. The typical HLB values of some common oil phases are given in Table 1 and those of non-toxic surfactant for formulation use are listed in Table 8.2.
It is to be noted that the oil phases often have two different required HLB values, one for the dispersed phase (O/W emulsion) and another for the continuous phase (W/O emulsion). This means different surfactants need to be used to decrease the interfacial tension based on whether the oil phase is dispersed or continuous phase
Table 8.1:
Required HLB value for some common oil phases
| Oil phase | O/W HLB | W/O HLB |
| Stearic acid | 15 | 6 |
| Cetyl alcohol | 15 | — |
| Stearyl alcohol | 14 | — |
| Anhydrous lanolin | 12 | 8 |
| Light mineral oil | 12 | 4 |
| Liquid paraffin | 10.5 | 4 |
| Castor oil | 14 | — |
| Beeswax | 9 | 5 |
| Petrolatum | 7.5 | 4 |
| Wool fat | 10 | 8 |
Table 8.2:
Some safe surfactants that are used in pharmaceutical formulation
Surfactant | HLB value | Surfactant | HLB value |
Mirj 45® | 11.1 | Span85® | 1.8 |
Mirj 49® | 15 | Tween20® | 16.7 |
Mirj 52® | 16.9 | Tween40® | 15.6 |
Span20® | 8.6 | Tween60® | 14.9 |
Span40® | 6.7 | Tween80® | 15 |
Span60® | 4.7 | Tween85® | 11 |
Span80® | 4.3 | Tween81® | 10 |
For example, if liquid paraffin is present in an emulsion as a dispersed phase (O/W emulsion), a surfactant with a HLB value of 10.5 needs to be used whereas a surfactant with HLB of 4 is to be used to decrease the interfacial tension if the same liquid paraffin is present as a continuous phase. When the oil phase is a combination of a few different oils or lipids, the RHLB is calculated using a simple mixing rule.
Mixing rule RHLB = f 1 * HLB1 + f2 * HLB2
Where, f1 and f2 are the mass fractions and HLB1 and HLB2 are the HLB values of oil species 1 and 2. A surfactant which has the same HLB value as the required HLB value of the oil phase depending upon (O/W) or (W/O) type of emulsion is an appropriate surfactant for stabilization of the emulsion. In case a safe surfactant with exact HLB value as that of the required HLB value of the oil phase is not available, a combination of the surfactants can be used to arrive at the required HLB value using the same mixing rule i.e. RHLB = f 1 * HLB1 + f2 * HLB2.
Very few oral emulsion formulations are available in the market. Some drug formulations, though, become microemulsions while ingested and reach the gastro-intestinal track. One common example of an oral emulsion is the liquid paraffin emulsion (laxative) used to treat constipation. Some intravenous microemulsions are available in the market, though the overwhelming majority of the emulsions that are available in the market are used on the skin.
8.12 MAKING OF EMULSION
Making of a stable emulsion typically involves the following steps.
- Decision needs to be made on the type of emulsion (water-in-oil or oil-in-water). Typically (W/O) type of emulsion is made to dissolve hydrophilic/polar drugs in oil phase. This type of emulsions is usually used for topical preparations. Oil-in-water type of emulsions are made to dissolve the hydrophobic or non-polar drugs and is used for oral or injectable route.
- The oil phase composition and the phase ratio is determined.
- The required HLB (RHLB) is determined based on the composition of the oil phase and type of emulsion.
- A pharmaceutically safe surfactant with the RHLB is picked and typically up to 5% (w/w), based on the total weight of the formulation, is used for emulsification. If a surfactant with RHLB is not readily available, a combination of surfactants is used to yield the RHLB. The ratio of surfactants and their required mass is calculated using the mixing rule.
- The surfactant is typically mixed with the dispersed phase as per the principles of geometric dilution in a mortar and pestle. Approximately 80% by volume of the continuous phase is then mixed with the dispersed phase as per the principles of geometric dilution. Homogenizers are typically used instead of mortar and pestle in a modern compounding pharmacy.
- The container is marked for the specified volume of the emulsion.
- The prepared emulsion is carefully transferred to the container making sure that the content is transferred quantitatively.
- The volume is made up with the continuous phase.
- Appropriate auxiliary labels like ‘Shake well before use’ and ‘Keep in a cool and dark place’ etc. are used along with the main label of the product.
8.13 IMPORTANT RHEOLOGIC PROPERTIES OF TWO-PHASE SYSTEMS
The word ‘rheology’ means the study of flow. The materials that flow are called fluids. Liquids, gases as well as finely subdivided solids behave as fluids. The flow behavior of all fluids is not the same. The pure liquids flow in certain manner called the Newtonian flow. As the liquid becomes impure because of solutes dissolved in it, or in case of emulsions and suspensions, the flow behavior changes drastically. This change of flow behavior is called Non-Newtonian flow.
8.13.1 Newtonian flow
Let us suppose that a force F is being applied on a liquid element of area A (along horizontal direction). The force per unit area is called the shear stress
Let us also assume that the liquid element moves at a velocity of u. In case of liquids (and also fluids) it is not only the liquid element that moves, the elements that are adjacent to the moving element also move but at a different velocity. The velocity of the liquid elements that are away (in perpendicular direction to the direction of the application of the force) decreases progressively as the distance in Y (as shown in the picture below) increases. The gradient (change) of the velocity over the distance perpendicular to the direction of force is called the rate of shear
Figure 8.11:
For the pure liquids, as proposed by Issac Newton, the shear stress is directly proportional to the rate of shear i.e. τ α γ and τ = η. γ i.e. F / A = η. du / dy, where η is
the proportionality constant called viscosity. Viscosity can be understood as the resistance to flow and has a unit of poise. The associated units for shear stress τ = F/A = dyne/cm2 and rate of shear γ = du/dy = 1/sec. The graph of rate of shear (along ordinate, y axis) plotted against shear stress (along abscissa, x axis) is called a rheogram.
A representative rheogram for Newtonian fluids (like dilute solutions of drugs etc.) is shown in Figure 8.13A. It is to be noted that the flow (rate of shear) starts as soon as any force is applied i.e. the graph goes through origin. The slope of the graph is fluidity ϕ. Fluidity is defined as the ease with which a liquid or a fluid flows (unit 1/poise). Mathematically, viscosity η = 1/φ. In Newtonian flow, fluidity and thus viscosity remain unchanged throughout the process.
Figure 8.12:
Emulsion types. (a) Simple emulsion, and (b) multiple emulsion
8.13.2 Plastic flow
This type of flow is distinguished from Newtonian flow in only one respect, i.e. there remains a minimum amount of shear stress called the yield value (f) to start the flow. If the shear stress is below the yield value, no flow occurs. Once the flow starts, the rate of shear to shear stress relationship is linear i.e. the slope between them does not change. It means that in plastic flow the fluidity and viscosity (once the flow starts) do not change. Figure 8.13B is a rheogram showing plastic flow.
Plastic flow is characteristic of many liquid or semi-solid preparations or dosage forms like suspensions (like tooth paste), ointments, gels or even some stiff creams. A practicing pharmacist needs to be aware of the yield value f of the semisolid dosage forms that they might dispense through compounding activity. If the yield value of the product is too high, it needs to be dispensed in a jar (for example ointment jar) as opposed to a tube for ease of getting the medication out.
8.13.3 Pseudoplastic flow
Pseudoplastic flow is characterized by a progressively increasing fluidity as the flow happens (Figure 8.13 C). The rheogram starts at the origin i.e. no minimum shear stress (yield value) is necessary to start the flow. Flow of lava from volcanoes or the flow of tomato ketchup are commonly occurring examples of pseudoplastic flow. Many liquid/semi-solid pharmaceutical dosage forms containing large concentration of dissolved polymers show pseudoplastic flow. Polymers are linear macromolecules with repeating units. The polymers do not remain in linear fashion in a solution, they remain in a coiled three-dimensional structure in solution. Additionally, the polymer molecules (especially in aqueous solutions) interact with a large number of solvent (water) molecules through van der Waals forces (including hydrogen bonding). As a result, it is hard to move solvent molecules and polymer molecules past one another; they tend to make one body and move together. That is why resistance to flow (viscosity . F du A dy η= ) is high for such solutions in the beginning. As shear stress is applied to the liquid body (for example by shaking), the polymers are all linearized like threads. As polymer molecules get progressingly linearlized, the resistance to flow (viscosity . F du A dy η= ) decreases progressively and fluidity increases. This is is why ketchup bottles are shaken well before it can be poured easily. The same rationale is applicable to the pseudoplastic pharmaceutical preparations containing a large concentration of polymers. These preparations (suspensions containing viscosity builders, even some emulsions) should contain the auxilary label ‘Shake well before use’).
8.13.4 Thixotropy
Thixotropy is a phenomenon in which the flow property of a liquid (usually viscous and pseudoplastic) depends, at least partially, on the rheologic history of the liquid. Figure 8.13E shows a characteristic rheogram of the thixotropic behavior of pseudoplastic liquids. In pseudoplastic liquids, the viscosity decreases rapidly as rate of shear increases (and polymer structure breaks down). But, the polymer structures are not recreated immediately after the shear stress is withdrawn, it takes a while before the polymer structure is recreated and the viscosity is regained. As a result, as is apparent in Figure 8.13E, as shear stress increases, the rate of shear increases more and viscosity decreases. Now, at this point, the rate of shear still remains disproportionately high even if the shear stress is decreased. The liquid moves more easily and faster with the application of a small amount of force. In Shorts, the up-curve (representing increasing shear stress) does not match the down-curve (representing decreasing shear stress).
Both pseudoplastic flow and thixotropy are very useful in preserving the physical stability of the two-phase systems. When a two-phase system formulation is kept at rest (like on the shelf), it is useful that the formulation has high viscosity (and thus low velocity of sedimentation). At the time of use of these formulations, a quick shaking is advisable so that the formulation is resuspended; homogeneity and dose uniformity is achieved. Once the medication is poured out and kept back on the shelf, it is useful that the polymer structures are reestablished, the high viscosity is reestablished and the condition of low velocity of sedimentation is achieved.
Reference
- Kalepu, S. and Nekkanti, V. (2015). Insoluble drug delivery strategies: review of recent advances and business prospects. Acta Pharmaceutica Sinica. B, [online] 5(5), pp.442–453. doi:10.1016/j.apsb.2015.07.003.
Tables
Table 8.3:
https://www.google.com/url?sa=i&url=https%3A%2F%2Fwww.researchgate.net%2Ffigure %2FMarketed-oral-products-which-yield-an-emulsion-or-microemulsion-in-the-gastrointestinal_ tbl9_282246522&psig=AOvVaw0m_96Gmr2C23F1LDpsN3cI&ust=1675530316333000&source =images&cd=vfe&ved=0CAwQjRxqFwoTCN in_v7q-fwCFQAAAAAdAAAAABAc
Table 8.4:
https://www.researchgate.net/profile/Sandeep-Kalepu/publication/282246522/figure/tbl8/AS:66966075632436 4@1536670974356/Representative-list-of-marketed-parenteral-microemulsion-products.png
