The study of human physiology is really a study of chemicals, and to understand the makeup and function of these chemicals requires a basic knowledge of chemistry. Chemistry is the study of the material that comprises all physical objects; i.e., chemistry is the study of matter. Matter is anything in the universe that occupies space or has mass, and it consists of basic building blocks called elements. An element is so-named because it is the most elementary (“beginning”) level of organization in matter. There are 92 naturally occurring elements. Six of these—carbon (C), hydrogen (H), nitrogen (N), oxygen (O), phosphorus (P), and sulfur (S)—make up most of the matter when considering all living things on Earth. However, the six most abundant elements in humans are C, H, N, O, P, and Ca (calcium).
Note:
Remember CHNOPS (“Shnops”) for the most common elements in most organisms, and CHNOPCa (“Shnop-kuh”) for the most common elements in the human body.
ATOMS, MOLECULES, AND COMPOUNDS
To understand the chemical makeup of your body, you must begin with an understanding of atoms. The body contains chemicals at several different levels of complexity, including atoms, molecules, and compounds. Atoms are the smallest things called elements (Figure 3-1).
Figure 3-1. Examples of atoms
An atom (literally, “indivisible”) is the smallest subunit of an element that has characteristics associated with that element. An atom contains one or more subatomic particles, including protons, neutrons, and electrons. Figure 3-1 shows examples of atoms.
A proton has a positive charge, whereas a neutron does not have a charge. These two types of subatomic particles exist in the nucleus (“nut” or “kernel”), located at the center of the atom. An electron has a negative charge and orbits the nucleus. An element’s atomic number is the number of protons that exist within the nucleus of one of the element’s atoms. The atomic weight (or atomic mass) is the weight of all protons and neutrons within the nucleus, and it is approximately equal to the number of protons and neutrons present. An atom is neutral (lack a charge) when its number of protons equals its number of electrons.
The human body is more than just a collection of individual atoms clumped together. Instead, it consists of atoms interacting with one another in complex ways. Atoms can interact with one another in a process called a chemical reaction, which involves the formation of chemical bonds. Chemical reactions can form complex levels of matter, including molecules and compounds. A molecule is a combination of any two or more atoms. Examples of small molecules include hydrogen gas (H2), oxygen gas (O2), water (H2O), and methane (CH4). A macromolecule is a large chain-like molecule such as DNA. A compound is a combination of two or more different elements, and includes water (H2O), methane (CH4 ), glucose (C6 H12 O6 ), and DNA.
Note:
All compounds are molecules but not all molecules are compounds. For example, O2 is a molecule but not a compound, while H2O is both a molecule and a compound.
Since physiology involves the study of various chemicals reacting in different ways, it is necessary to understand how physiologists measure chemicals. The customary unit of measurement for molecules is the mole. A mole is equal to the compound’s molecular weight expressed in grams; whereas, a millimole (mmole) is equal to its molecular weight measured in milligrams (mg). One mole of any element contains the same number of atoms as one mole of any other element, and this number is 6.023 X 1023 (called Avogadro’s number), or 602.3 billion trillion atoms. For practice, calculate the number of milligrams in one mmole of glucose (C6 H12 O6 ) and one mmole of sodium chloride (NaCl; table salt). (These compounds have important medical importance that you will learn about later.) First, we must first know the atomic weight of each element in these compounds: C=12, H=1, O=16, Na=23 and Cl=35. Therefore,
One mmole of glucose is (C=6×12)+(H=12×1)+(O=6×16) = 180 mg
One mmole of NaCl (table salt) is: (Na=1×23)+(Cl=1×35) = 58 mg
Before describing chemical bonds, you must have an understanding of mixtures, which are combinations of matter that do not share chemical bonds.
MIXTURES
The body contains a variety of mixtures, which are combinations of substances in which each substance retains its own chemical properties. A homogeneous mixture (hō-mō-JĒ-nē-us; homo, same) has particles distributed evenly throughout and cannot be separated by filtration. Although a homogeneous mixture may absorb light, the particles are so small that light rays are not scattered (deflected or refracted). In contrast, a heterogeneous mixture (het-er-ō-JĒN-ē-us; hetero, different) has particles large enough to scatter light rays. There are three types of mixtures: solutions, colloids, and suspensions.
A solution is a homogeneous mixture in which one substance, called the solute, is scattered evenly throughout another substance called the solvent. A solute will not settle out of a solution; i.e., it will not separate from the solvent. The solute’s concentration is the amount of solute divided by the total amount of solution:
In this book, brackets around a term denote a concentration. For example, we will write the concentration of glucose as [glucose]. A one millimolar (1 mM) glucose solution contains 1 mmole of glucose (180 mg) dissolved in 100 ml of solution, where the solvent is pure water. Other common units of measure for a substance’s concentration include parts per million (ppm), milligrams per liter (mg/L—the same as ppm), and micrograms per deciliter (µg/dl).
A colloid (KOL-oyd; coll, glue; oid, appearance) is a heterogeneous mixture in which particles are large enough to scatter light, yet they are too small to settle out of the mixture. Common colloids are gelatin and milk.
A suspension is a heterogeneous mixture that contains particles large enough to settle out of the mixture. An example of a suspension is muddy water in a flask. If allowed to stand undisturbed for some time, the suspended dirt and clay particles will settle to the bottom of the flask.
CHEMICAL BONDS
Your body holds together because atoms have the ability to form chemical unions, or bonds, between one another. A chemical bond is an attraction or force that holds atoms together. Electrons are the subatomic particles responsible for this attractive force. Electrons orbit the atom’s nucleus at different distances called electron shells (or energy shells). The actual flight path for electrons within an electron shell is an orbital. Each orbital can contain no more than two electrons. The energy shell closest to the nucleus has the lowest energy and contains only one orbital; therefore, it can hold a maximum of two electrons. Shells farther away from the nucleus have more energy and may contain many orbitals. Most outer electron shells contain four orbitals, and thus can hold a maximum of eight electrons.
An atom reacts with other atoms in a way that either completely fills or completely empties its outermost electron shell. Since most atoms have outer electron shells that can hold a maximum of eight electrons, chemists refer to this tendency of interaction as the octet rule (oct-, eight). Exceptions to this rule are hydrogen and helium atoms, which have only one orbital and, therefore, can have only two electrons in their outer electron shell. If the outer shell of a neutral atom is full, that atom will not react with another atom and the element is inert (literally means “sluggish”). Helium (He) is an inert element. Major types of bonds that can hold molecules together include ionic, covalent, and hydrogen bonds.
Ionic Bonds
An ionic (ī-ON-ik) bond is the force of attraction between oppositely charged particles of matter called ions. Since ions in a solution are able to conduct an electrical current, chemists call them electrolytes (ē-LEK-trō-lītz). An ion (Ī-on) is an atom or molecule that has more or fewer electrons than protons. A positively charged ion is a cation (KAT-ī-on) resulting when a neutral atom or molecule loses one or more electrons. An example is a hydrogen ion (H+). Whereas, a hydrogen atom is neutral when it has one electron and one proton, losing the electron makes the atom a hydrogen ion. Other examples of cations include the sodium ion (Na+) and calcium ion (Ca2+). A negatively charged ion is an anion (AN-ī-on) resulting when a neutral atom or molecule gains one or more electrons. One way this happens is when one atom “steals” one or more electrons from another atom. In this process, the atom that loses the electron becomes a cation. For example, when a neutral chlorine atom steals an electron from a sodium atom, the chlorine atom becomes a chloride ion and the sodium atom becomes a sodium ion. Since these ions have opposite charges, they attract one another and form an ionic compound called NaCl, or table salt.
Chemical Bonds in Human Physiology
Covalent Bonds
A covalent bond (kō-VĀ-lent; co-, together; valence, power) forms when two atoms share one or more outer electrons. Covalent bonds are found within a single water molecule, in which one oxygen atom shares electrons with two hydrogen atoms: 2H + O → H2O
Covalently bonded molecules are either nonpolar or polar. Nonpolar molecules share electrons equally; that is, a shared electron spends about the same amount of time orbiting both atoms. Polar molecules share electrons unequally, in which an electron orbits one of the atoms longer than it orbits the other atom. Overall, a polar compound is neutral because its number of electrons equals its number of protons. However, due to the unequal sharing of electrons, a polar compound has a positive and a negative region. Think of a polar molecule as being like a battery. Although the battery has a positive end and negative end (these oppositely charged ends are called poles), the battery as a whole is electrically neutral because the total number of positive charges equals the total number of negative charges. Water is a polar compound, but carbon dioxide (CO2 ) is nonpolar.
Sometimes two atoms share two or more electrons. In these cases, double or triple lines drawn between the atoms indicate the number of electrons shared. Hydrogen atoms can form only one covalent bond, while oxygen atoms can form two. Carbon atoms, which exist in all organic molecules, can form four covalent bonds
Hydrogen Bonds
A hydrogen bond (H-bond) is an attraction between a hydrogen atom located within one polar molecule and an oxygen or nitrogen atom located within another molecule. If the H-bond exists within one large macromolecule, it is an intramolecular H-bond (intra, within). Intramolecular H-bonds allow the macromolecule to coil and bend to form unique 3-dimensional shapes. If the H-bond exists between molecules that are not part of a macromolecule, it is an intermolecular H-bond (inter, between). Intermolecular hydrogen bonds hold adjacent water molecules together in a process called cohesion (cō-HĒ-shun; cohes, stick together). Intermolecular hydrogen bonds also allow water molecules to stick to non-water molecules in a process called adhesion (ad-HĒ shun; adhes, stick to).
ISOTOPES
Sometimes different atoms of the same element have different molecular weights, and these unique atoms are called isotopes. An isotope (Ī-sō-tōp; iso, same; –tope, part) is an element with an atomic weight that is different from that of the most common form of the element. For example, most hydrogen atoms are called protium and have one proton (p+) and no neutrons (no). However, a hydrogen isotope called deuterium (2H or 2H; dū-TĒR-ē-um) has one p+ and one no (deuter means “second,” referring to the second particle present in the nucleus). Another hydrogen isotope, called tritium (3H; TRIT-ē-um), has one p+ and two no (tri means “three,” referring to the three particles in the nucleus); see Figure 3-2. Some isotopes are radioactive, meaning they are unstable and lose nuclear particles and energy over time. This decomposition of radioactive decay.
Figure 3-2. Isotopes of hydrogen
Medical technology makes use of a variety of radioisotopes and utilizes special instruments to detect radioactive decay. Clinicians sometimes inject small amounts of radioisotope into a patient and trace it through the body to locate obstructions, tumors, and to map out metabolic pathways. In other cases, clinicians deliberately concentrate radioactive isotopes inside cancerous tumors, allowing the release of nuclear particles and energy from the radioisotopes to destroy the tumor cells.
ENERGY
Energy is the force that moves matter, and work is the movement of matter; therefore, energy is the force responsible for work. Stored energy, or the energy of “position,” is potential energy, so named because while it is not moving matter at that moment, it can perform work later. Potential energy exists in a car battery because it can start the car’s engine when you turn on the ignition switch. In your cells, certain molecules (such as glucose) have potential energy in their chemical bonds, and a cell can release this energy to do work.
Energy in motion is kinetic energy (ki-NE-tik; kinesis,- movement), and includes the following:
- Chemical energy: energy released when a chemical bond is broken, or the energy required to form a chemical bond
- Electrical energy: movement of electrons along a wire, through a liquid, or in the atmosphere
- Electrochemical energy: movement of ions
- Radiant (also called electromagnetic) energy: energy that travels in waves or rays; examples are visible light, ultraviolet (U-V) radiation, and X-rays
- Mechanical energy: energy existing in matter as it moves; this energy can be transferred directly to other matter. When a moving object transfers mechanical energy to a second object, the second object may (1) move, (2) change shape, or (3) change its direction of movement if it is already moving. Golf involves transferring mechanical energy from a moving golf club to a stationary ball in order to move the ball
Heat relates to the relative speed of particles in motion, but it is unavailable to do work. Heat is released when one form of energy transforms into another form. Temperature is a measure of heat and relates directly (is positively related) to the speed of the particles in motion. The faster the particles are moving, the higher the temperature. Moreover, when the temperature of particles increases, so does the speed at which those particles move. A graphical representation of these relationships are shown in Figure 3-3.
Figure 3-3. Particle motion and temperature
Looking back and forth at these two graphs suggests that a positive feedback mechanism is possible. This is what happens during either hypothermia or hyperthermia. In hypothermia (hī-pō-THER-mē-a; hypo, low; therm, heat), a person’s body temperature is decreasing, which causes metabolic reactions to slow down. The slower metabolism generates less heat, which causes the body temperature to decrease even more, which in turn causes the metabolic processes to slow down even more, and so on. In hyperthermia (hyper, high), the reactions are the opposite of that in hypothermia: an increasing body temperature causes an increase in metabolism, which generates more heat to cause an increase in body temperature and a subsequent increase in metabolism, and so on. Unless counteracted in some way, hypothermia and hyperthermia are life-threatening conditions.
The generation of heat indicates that the transfer of energy from one form to another form is not 100% efficient. Heat released when a gallon of gasoline burns cannot propel a car. Likewise, when a cell “burns” food molecules, some of the energy can perform work inside the cell, but the remaining energy is released as heat.
CHEMICAL REACTIONS
A chemical reaction is an interaction between atoms or ions and involves the breaking or forming of chemical bonds. Particles that interact with one another are reactants, while the substance formed during a reaction is the product. In some cases, several reactants interact to form a larger product. In other cases, a single reactant breaks down into smaller products.
Depending on whether energy is absorbed or released during the process, a chemical reaction is either endergonic or exergonic. Reactions that absorb energy are endergonic (en-der-GON-ik; ender, inside; gonic, work). Thus, the product contains more stored energy than all the reactants combined. An example of an endergonic reaction is photosynthesis, in which plants use light energy to produce glucose and oxygen from carbon dioxide and water:
Classification of Chemical Reactions
Chemical reactions are classified in a number of ways, but the major types include synthesis, decomposition, reversible, and oxidation-reduction reactions.
Recall from chapter 1 that all chemical reactions in the body account for metabolism. One aspect of metabolism is anabolism, in which reactants combine to form a larger compound. Anabolic reactions are synthesis reactions (SIN-the-sis; syn, together; thesis, arranging) and we can summarize them as follows:
The opposite of anabolism is catabolism, which involves the breakdown of compounds. Catabolic reactions are decomposition reactions:
A reversible reaction is one in which the reactants generate a product that readily breaks apart, or dissociates (diss-Ō-sē-ātz; to separate), to form the original reactants. Chemists denote these reactions with double arrows (⇋). An example of a reversible reaction is the formation and breakdown of carbonic acid (H2CO3 ). Following the reaction to the right, carbon dioxide and water combine to form carbonic acid, which then dissociates to form hydrogen ions (H+) and bicarbonate ions (HCO3-). Then following the reaction to the left, some of the H+ and HCO3- may combine to form H2 CO3 , which dissociates to form CO2 and H2O:
Carbonated beverages are made by bubbling CO2 into the beverage under high pressure. The added CO2 binds with water and forces the above reactions to the right. As a result, more H+ ions form and these ions can “burn” your throat when you drink the beverage. If you leave the carbonated drink uncovered, CO2 diffuses into the atmosphere. To replace the CO2 that is lost, the above reactions move to the left; therefore, more H+ ions react with HCO3- to form H2CO3 , which dissociates to form CO2 and H2O. When sufficient H+ ions leave the solution, the drink no longer produces that burning sensation when you drink it, and we say the drink is “flat.”Oxidation-reduction (redox) reactions involve synthesis and decomposition. The loss of an electron is oxidation. In most biological reactions, when an electron leaves a compound, a proton (hydrogen ion) goes with it. Since one proton and one electron together make up a hydrogen atom, we can also say oxidation is a loss of a hydrogen atom.
An oxidizing agent is one that readily “steals” electrons from other atoms. Oxygen atoms are strong oxidizing agents because they each have two vacant spots in their outer electron shell, which causes them to react in a way to fill those spots with electrons. Oxygen atoms can readily oxidize iron (Fe) atoms in a shiny, new nail exposed to moisture and air. The result is iron oxide (Fe2O3 , or rust). Since oxygen interacts with many different chemicals, we can also say oxidation is the addition of an oxygen atom to a substance.
The opposite of oxidation is reduction, which is the gain of an electron, the gain of a hydrogen atom, or the loss of an oxygen atom. A sodium atom experiences oxidation when it loses an electron to a chlorine atom; in turn, the chlorine atom becomes reduced. In photosynthesis, a plant reduces CO2 by adding hydrogen atoms to form glucose (C6H12O6 ). Since glucose is a highly reduced compound, you could think of it as being RED-hot with energy (“RED” standing for REDuced). Certain chemical reactions oxidize glucose by removing some of its hydrogen atoms. The oxidized form of a compound has fewer carbon-hydrogen (C-H) bonds and, therefore, has less stored energy than its reduced form. In the above example, CO2 has less stored energy than C6H12O6 .
Note:
Ways to remember redox reactions: (1) “OIL RIG”: Oxidation Is Loss, Reduction Is Gain, or (2) “LEO GER”, the GER is the growl of LEO the Lion: Loss of Electrons is Oxidation; Gain of Electrons is Reduction.
Some chemical reactions produce molecules called free radicals, which are molecules that have unpaired electrons in their outer electron shell. An example of a free radical formed in the human body is the superoxide ion (O2–). This free radical reacts violently with other atoms, stealing electrons from them, because the radical has a strong tendency to pair all of its electrons. Reacting with a free radical causes oxidation of a compound, and this may cause the compound to change its shape. In turn, the shape change could adversely affect the function of the oxidized compound.
Antioxidants are chemicals that react with free radicals and prevent their reaction with vital cellular compounds. Certain vitamins, such as A, C, and E are important antioxidants.
Factors Affecting Reaction Rate
Several variables can affect the rate at which a chemical reaction occurs, and these are shown on graphs in Figure 3-4.
- Size of reactants: Reaction rate correlates negatively with the size of the reactants because smaller particles move faster and, thus, react faster than larger particles.
- Concentration of reactants: Concentration of reactants has a positive effect on reaction rate; i.e., the more reactants present, the more likely they will interact.
- Temperature: Reaction rate is positively affected by temperature. Heated molecules move faster, and this increases the likelihood that they will react.
- Concentration of catalysts: A catalyst is a substance that speeds up a reaction without becoming part of any product; thus, the greater the concentration of catalysts, the greater the reaction rate.
Figure 3-4. Factors affecting reaction rate
WATER
Since water makes up 50-60% of our bodies, we should take a moment to consider its importance to life. Water is a polar compound that has many important functions in the body:
(1) Medium in which chemical reactions occur
(2) Acts as a chemical reactant
(3) Acts as a lubricant to reduce friction
(4) Absorbs and dissipates heat
(5) Acts as a shock absorber
Related to the first function, water has the ability to dissolve many substances. The ability of a substance to disperse evenly in a fluid is dissolution, which is why we say a substance can dissolve in a particular fluid. Additionally, if a compound can dissolve in a fluid, we say it is soluble in that fluid. Since water can dissolve so many things, it has been called the “universal solvent.” So, what gives water this special ability?
Water’s polarity allows it to form hydration shells around ions and polar molecules. The positive (hydrogen) end of a water molecule attracts anions and the negative regions of polar compounds, while the negative (oxygen) end of a water molecule attracts cations and the positive regions of polar compounds. Hydration shells keep ions and polar molecules dispersed (dissolved). Figure 3-5. shows hydration shells around solute particles.
Figure 3-5. Hydration shells around ions and a polar molecule
ACIDS, BASES, AND SALTS
A number of different compounds dissociate in solution to form ions, and these substances play vital roles in homeostasis. Examples of compounds that dissociate in this way include water, acids, bases, and salts. While it might seem logical that ionic bonds would be found in all these compounds, ionic bonds are found only in salts. In contrast, water, acid, and base molecules are held together by covalent bonds. Water dissociates into hydrogen ions and hydroxide ions (OH–), which can then come together again to form water as follows:
An acid is a compound that dissociates to yield H+ ions in a solution. An example is hydrochloric acid (HCl), which dissociates to yield hydrogen ions and chloride ions:
A strong acid, such as HCl, dissociates completely and irreversibly; thus, we show the reaction with a single arrow. On the other hand, a weak acid dissociates incompletely and the reaction is reversible. This means that some undissociated acid molecules are always in the solution along with the H+ ions and anions yielded when some of the acid molecules dissociated. Carbonic acid (H2CO3 ) is a weak acid and its dissociation is shown with a double arrow:
Acids taste sour, and some of the more common acids that you have probably tasted include ascorbic acid (vitamin C), citric acid (abundant in fruits such as oranges and grapefruits), and acetic acid (vinegar).
A base is a substance that removes H+ ions from a solution. Sodium hydroxide (NaOH), also known as lye and found in drain cleaners, is an example of a strong base. Like strong acids, strong bases dissociate completely and irreversibly. Furthermore, dissociation of a strong base always yields a hydroxide ion, and this anion readily reacts with H+ ions to form water. The dissociation of NaOH and its ability to remove H+ from a solution is shown below:
A weak base dissociates incompletely and the reactions are reversible. Sodium bicarbonate (NaHCO3), which is used as baking soda, is a weak base; thus, we show its dissociation with a double arrow:
A salt is an ionic compound that dissociates to yield cations other than H+ and anions other than OH–. An example is sodium chloride (NaCl), commonly called table salt:
When a strong acid and a strong base mix, the reaction forms salt and water. The following shows the reaction between hydrochloric acid and sodium hydroxide:
The pH scale and measurements of [H+]
Chemists use a mathematical formula to calculate the pH of a solution, and this formula relates to the amount of H+ in that solution. The calculation for pH is as follows:
The [H+] is the concentration of H+ ions reported as moles of H+ per liter of solution. The log10 of a number is the power to which 10 is raised to equal that number. For example, the log10 of 100 is 2, since 102 equals 100. However, when dealing with numbers less than 1, the exponent will be a negative number. For instance, the log10 of 0.001 is -3 (obtained from 10-3). Since the [H+] expressed in grams per liter is extremely small, the logarithm of the [H+] will always be negative. Therefore, by adding a negative sign to the equation, pH values become positive.
The pH scale ranges from 0-14, with acids having a pH below 7 and bases having a pH above 7. Since a mole of H+ weighs approximately one gram, a solution at pH 7 has 0.0000001 g of H+ in every liter (notice the number 1 is in the seventh place to the right of the decimal). A solution at pH 2 has 0.01 g H+ per liter of solution. At pH 7, the [H+] = [OH–] and the solution is said to be neutral. Pure water is neutral although it acts like an acid and a base at the same time by dissociating into H+ and OH– ions. To get a better feel for the logarithmic nature of the pH scale, consider the following:
pH 7 has 100 times more H+/L than pH 9
pH 8 has 10,000 times fewer H+/L than pH 4
pH 7 has 10,000 times more OH– than pH 3
The normal range of pH in the body is 7.35 to 7.45. When the tissue fluids have a pH below 7.35, the person is experiencing acidosis (as-i-DŌ sis; osis, condition). When the tissues have a pH above 7.45, the person is experiencing alkalosis (al-ka-LŌ-sis).
Human Body pH Calculator
BUFFERS
While dramatic fluctuations in blood or tissue fluid pH can be life threatening, the body contains certain chemicals that help maintain pH levels within tolerable limits. A buffer is a substance that prevents dramatic pH changes in a solution by reacting with either H+ or OH– that enter the solution. The word “buffer” relates to how a soft body reacts when struck; that is, it absorbs the punch. A buffer system consists of several related chemicals that react to the addition of either an acid or a base. One important buffer system in the body is the carbonic acid-bicarbonate (H2CO3–HCO3–) buffer system. The basis of this buffer system involves the reaction of carbon dioxide with water to form carbonic acid. The carbonic acid-bicarbonate buffer system is as follows:
- CO2 + H2O ⇋ H2 CO3 ⇋ H+ + HCO3
(Weak acid) (Weak base)
- Added acid (H+) reacts with HCO3– to form a weak acid, which does not readily give up H+ ions; thus, the decrease in pH is minimized:
- Added base (OH–) reacts with H2 CO3 to form a weak base, which does not readily remove H+ ions; thus, the increase in pH is minimized:
INORGANIC AND ORGANIC COMPOUNDS
Compounds are either inorganic or organic. All organic compounds contain carbon, while those that lack carbon are inorganic. Originally, scientists thought that only organisms could make organic compounds (hence, the name). However, scientists can now synthesize various organic compounds in the lab. Although all organic compounds contain carbon, some carbon compounds traditionally have been considered inorganic because they can form naturally without an organism being involved. Three examples of “inorganic” carbon compounds include carbon monoxide (CO), carbon dioxide (CO2), and bicarbonate (HCO3). Many major organic compounds in the body contain numerous carbon atoms arranged in either chains or rings.
When organic compounds react with one another, only a small portion of each molecule actually interacts with the other molecule. The “reactant” part of an organic compound is a functional group. Think of a functional group as being responsible for an organic molecule’s reactivity in the same way that the outer electrons are responsible for a single atom’s reactivity. Examples of functional groups found in various organic compounds of the body include the hydroxyl (OH), amino (NH2), carboxyl (COOH), carbonyl (C=O), sulfhydryl (SH), methyl (CH3), and phosphate (PO4) groups. These major functional groups are highlighted in Figure 3-6.
The most abundant organic compounds in the body are carbohydrates, lipids, proteins, and nucleic acids. Vitamins are also organic, but their concentrations are extremely low compared to the four listed above. Some organic compounds are macromolecules, also called polymers. A polymer (POL-i-mer; poly, many; mer, part) is a long chain of smaller, repeating subunits called monomers (MON-ō-merz; mono, one). Each monomer may exist freely by itself, apart from the polymer. Examples of polymers include protein, consisting of amino acid monomers, and starch, consisting of glucose monomers. If a polymer is like a train, then monomers are like the boxcars.
Figure 3-6. Major functional groups
ENZYMES
Major organic compounds in the body are built and broken down by special chemicals called enzymes. An enzyme (EN-zīm) is a protein that functions as a catalyst, or chemical that speeds up a chemical reaction without becoming part of the product. As a result, a single enzyme can do its job repeatedly without being used up. However, enzyme molecules eventually “wear out” and must be replaced. Enzyme means “yeast,” and just as yeast can cause a change in bread dough, making it rise, so an enzyme can cause a change in other compounds. A coenzyme is not an enzyme, but is a non-protein that helps an enzyme in some way. The coenzyme may form part of the enzyme’s substrate-binding site, supply a reactant to the enzyme, and/or remove by-products of a reaction. Most coenzymes are derived from vitamins. Figure 3-7 shows the basic functioning of an enzyme and coenzyme.
Figure 3-7. Function of an enzyme and coenzyme
Enzymes speed up chemical reactions by lowering the activation energy, which is the energy required to initiate a reaction. Enzymes do not necessarily cause reactions that could not occur otherwise, but they cause them to occur much quicker than would be possible without the enzyme. In order to speed up a reaction enough to sustain life without an enzyme being present would require so much energy that the cell could not survive the heat.
The body contains thousands of different enzymes and each enzyme is very specific in regard to the type of chemical on which it works. A substrate (reactant) is the chemical worked on by an enzyme. The exact way in which an enzyme fits together with its specific substrate is not fully understood, but the substrate must first attach to the enzyme at a site called the substrate-binding site. Early on, scientists assumed that substrates fit into enzymes rigidly, much like a key fits into a lock. This idea was known as the lock-and-key model of enzyme action. However, recent research suggests that when the substrate binds to the enzyme, the binding site changes shape and conforms more to the shape of the substrate. This idea, called the induced-fit model, is probably a more accurate explanation of how enzymes and their substrates interact. The common way of visualizing this is thinking about how a sock conforms to the shape of a foot that is inserted into it. High temperature or varying the pH can alter the shape of the substrate-binding site and prevent the enzyme from functioning properly. Any change in an enzyme’s shape that adversely affects its normal functioning is called denaturation (dē nā-chur-Ā-shun; de, take away; nature, function).
Enzymes in Dehydration Synthesis and Hydrolysis
Enzymes are responsible for synthesizing and decomposing organic compounds in the body. The formation of most organic compounds occurs through a process called dehydration synthesis. In this process, an enzyme forms a covalent bond between two compounds after it removes a hydrogen atom (H) from one of the compounds and a hydroxyl group (OH) from the other compound. The removed H and OH then combine to form a water molecule. Since the enzyme removes components from the reactants that combine to form water while the enzyme synthesizes a new organic molecule, the process is aptly called dehydration synthesis (hydra, water). We can summarize the process as follows:
Most decomposition of organic compounds occurs through a process called hydrolysis (hī DROL-i-sis; hydro-, water; lysis, breaking), in which an enzyme breaks the compound into two smaller products and breaks a water molecule into H and OH. The enzyme then attaches the H to one of the products and attaches the OH to the other product. At first glance, hydrolysis may seem like dissolution in that both processes utilize water to break apart a substance. However, hydrolysis involves breaking a covalent bond within an organic com pound and this process requires an enzyme. In contrast, dissolution does not involve breaking a covalent bond, and thus it does not require an enzyme. We summarize hydrolysis as follows:
It is important to distinguish hydrolysis from dissolution, which you read about earlier. While dissolution involves the formation of hydration shells around ions or polar molecules, it does not break covalent bonds. For example, a crystal of table sugar (called sucrose; SŪ-krōs) can dissolve in water and this dissolution involves the liberation of many individual sucrose molecules from the crystal, but individual sucrose molecules are not hydrolyzed. However, if an enzyme called sucrase (SŪ-kr ās) is added to the solution then it will hydrolyze the sucrose, breaking it into two smaller molecules: glucose and fructose (see Figure 3-8).
Figure 3-8. Dissolution and hydrolysis of sucrose sugar
Regulation of Enzyme Activity
It is important to regulate enzyme activity in the body so that products vital to good health will remain in optimum concentrations. The regulation of enzyme activity occurs through various negative feedback mechanisms. An example is end-product inhibition, in which products of a reaction bind to an enzyme and prevent it from working. Thus, the number of product molecules formed over time remains relatively constant (Figure 3-9a).
Two ways to inhibit enzymes without causing permanent denaturation are through competitive inhibition and allosteric inhibition. In competitive inhibition, a “foreign” substrate competes with the normal substrate for the substrate-binding site. If the foreign substrate binds to the site, the normal substrate cannot attach to the enzyme. Heavy metals, such as lead, can inhibit cellular metabolism in this manner. In allosteric (al-ō-STER-ik; allo, other), or noncompetitive inhibition, a foreign substance binds to a part of the enzyme other than the substrate-binding site. This causes the enzyme, including its substrate binding site, to change shape, and this prevents the normal substrate from attaching to the enzyme. Sulfanilamide (sul-fa-NIL-a-mīd) and other sulfa drugs act in this way to inhibit certain enzymes inside bacteria, which in turn inhibits bacterial growth. Figure 3-9b,c shows the regulation of enzymes in different ways.
Human Enzyme Activity Simulator
Enzyme Reaction: Amylase (Starch → Maltose)
Figure 3-9. Enzyme inhibition. (a) End-product; (b) Competitive (c) Non-competitive (allosteric)
CARBOHYDRATES
Carbohydrates, also called saccharides (SAK ar-ı̄dz; sacchar, sugar), serve as the primary source of energy for the body’s cells, but they also function as cell markers and are part of nucleic acids (DNA and RNA). Carbohydrates contain carbon, hydrogen, and oxygen, and exist at different levels of complexity.
- Monosaccharides (mon-ō-SAK-ar-īdz; mono, one), also called simple sugars, are the sim plest carbohydrates and include pentoses (with 5 carbons; pent, five) and hexoses (with 6 carbons; hex, six). Important pentoses include ribose (RĪ-bōs) in RNA and deoxy ribose (dē-oks-sē-RĪ-bōs) in DNA. Common hexoses include glucose (also called dex trose; DEKS-trōs), fructose (FRŪK-tōs), and galactose (ga-LAK-tōs). These three hexoses have the chemical makeup (C6 H12 O6 ), but their 3-dimensional shapes differ; therefore, they are considered isomers (Ī-sō-merz; iso, same; -mer, part). Glucose is the most common car bohydrate circulating in your blood.
- Oligosaccharides (ol-i-gō-SAK-ar-īdz; oligo, few) contain up to 20 simple sugars bonded together by an enzyme during dehydration synthesis reactions. The most common oligosaccharides are disaccharides and dextrin.
- Disaccharides (di, two) have two simple sugars. Examples include sucrose (SU-krōs), or table sugar made of glucose and fructose, maltose (MAL tōs), or malt sugar, made of two glucoses, and lactose (LAK-tōs), or milk sugar, made of glucose and galactose.
Dextrin (starch gum) consists of 3-20 glucose molecules derived from polysaccharides such as starch.
Polysaccharides (pol-ē-SAK-ar-īdz) are polymers consisting of simple sugars (usually glucose). The presence or absence of specific polysaccharides on the plasma membrane of red blood cells determines your blood type. Examples of polysaccharides include glycogen, starch, and cellulose.
Glycogen (GLĪ-kō-jen; glycol, sugar; gen, generating) is a highly branched compound made of glucose molecules. The liver and muscle cells store glycogen as a source of glucose molecules, which can be broken down for energy.
- Starch is similar to glycogen except it is not highly branched. Plant cells store glucose molecules as starch. Complex carbohydrates in the diet consist of starches found in potatoes, beans, etc.
- Cellulose is the most abundant organic molecule in the world and forms the walls of plant cells. Like starch, cellulose consists entirely of glucose molecules. Humans cannot utilize cellulose as an energy source because they lack the enzyme cellulase needed to hydrolyze cellulose. Any cellulose you eat passes through your body undigested, but it is important in the diet as “fiber,” which can help push other materials through the digestive system. On the other hand, cows and horses have cellulase-producing bacteria in their ntestines, meaning these animals can eat grass and release glucose from the plants’ cellulose walls. The released glucose molecules can then serve as a source of energy.
LIPIDS
Like carbohydrates, lipids contain C, H, and O, and they are an important source of energy in the body. However, unlike many carbohydrates, lipids are insoluble in water. Since lipids have many more C-H bonds than simple sugars, they contain much more stored energy. Animals usually have more stored energy in the form of lipids than in carbohydrates. Chemists classify lipids according to their chemical composition and structure, and include fatty acids, glycerides, phospholipids, glycolipids, eicosanoids, and steroids.
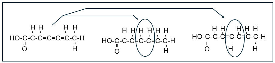
Fatty acids consist of carbon chains with hydrogen atoms attached along the sides and at one end and a carboxyl group (COOH) attached at the other end. A saturated fatty acid has no double bonds between any of the carbon atoms in the carbon chain and, therefore, has the maximum number of hydrogen atoms attached along the sides of the chain. In other words, we say the carbon chain is “saturated” with hydrogen atoms. An unsaturated fatty acid has one or more double bonds within the carbon chain. If there is only one double bond in the chain, the fatty acid is monounsaturated; if there are two or more, the fatty acid is polyunsaturated. It is possible to convert an unsaturated fatty acid into a saturated fatty acid by breaking double bonds in the carbon chain and adding H atoms at these sites. This process, called hydrogenation (hı̄ DRAH-jen-A -shun), can result in either cis fatty acids, if the added H binds to the same side of the carbon chain, or trans fats, if the added H binds to opposite sides of the carbon chain (trans means “across”) (Figure 3-10).
Figure 3-10. Hydrogenation of a fatty acid
Trans fatty acids, like saturated fatty acids, do not bend readily and tend to be solid at room temperature. They are not found naturally, but may be present in margarines and other foods that have been partially hydrogenated. Trans fats have been implicated in the clogging of blood vessels in the heart, the most common form of heart disease.
Glycerides (GLIS-er-īdz) consist of a glycerol (GLIH-ser-ol) molecule attached to one or more fatty acids. A monoglyceride (MON-ō glih-ser-īd) contains one fatty acid; a diglyceride (DĪ-glih-ser-īd) contains two fatty acids; and a triglyceride (TRĪ-glih-ser-īd) contains three fatty acids. Oils are triglycerides containing unsaturated fatty acids. The double bonds in unsaturated fatty acids create “kinks” that prevent the fatty acid from lying flat or forming a straight line; this causes the triglyceride to remain liquid at room temperature. Fats are triglycerides containing saturated fatty acids. The solid nature of fats at room temperature results when adjacent, non kinked, saturated fatty acids pack together tightly. Fats are important as a source of stored energy and for insulation and protection of underlying tissues.
Phospholipids (FOS-fō-lih-pidz) contain a glycerol molecule covalently bonded to a phosphate molecule and two fatty acids. The phosphate group is polar, and therefore water-soluble or hydrophilic (hi-drō-FIL-ik; “water-loving”). The fatty acids are nonpolar, and therefore non-water soluble or hydrophobic (hı̄ drō-FO-bik; “water-fearing”). Any molecule that has both hydrophobic and hydrophilic regions is amphipathic (am-fē-PATH-ik; amphi, both; pathic, feeling). When phospholipids containing relatively short fatty acids mix with water, they spontaneously form a micelle (MĪ sel; “small morsel”), a tiny sphere with the fatty acid “tails” pointing inward away from the surrounding water. Micelles transport lipid-soluble nutrients in the intestines. When phospholipids containing relatively long fatty acids mix with water, they form a bilayer (BĪ-lā-er; bi, two), two layers of phospholipids with the fatty acid tails pointing inward. Phospholipid bilayers comprise all membranes that are part of a cell.
Glycolipids (glī-kō-LIP-idz) are diglycerides attached to carbohydrates and function in the cell membrane that separates a cell from its surrounding environment.
Eicosanoids (ī-KŌS-i-noyds; eicos, twenty; oid, form) are lipids derived from arachidonic acid (a-RAK-i-don-ik), a 20-carbon fatty acid. Two major groups of eicosanoids include leukotrienes (lū-kō-TRĪ-ēnz) and prostaglandins (pros-ta-GLAN-denz). White blood cells (leuko means “white”) release leukotrienes in response to tissue damage and disease. Virtually all cells produce prostaglandins, especially when the cells are damaged, and these compounds can influence various cellular activities.
Steroids (STĒR-oydz) consist of carbon rings but do not have fatty acids. Steroids are hydrophobic and include cholesterol, vitamin D, hydrocortisone, and sex hormones (testosterone, progesterone, and estrogen).
PROTEIN
Proteins are the most important structural component in the body, and compared to other organic compounds they have the widest range of functions in the body. A protein (PRŌ-tēn) is a polymer of amino acids. All amino acids contain C, H, O, and N, but a few also contain sulfur. In addition, all amino acids contain an amino group (NH2 ) and a carboxyl (COOH) group. During protein synthesis, an enzyme removes a hydrogen atom from one amino acid’s amino group and removes a hydroxyl group from an adjacent amino acid. The H and OH combine to form water and a covalent bond forms between the two amino acids. The covalent bond that holds two amino acids together is called a peptide (PEP-tīd) bond.
There are 20 different structural designs for amino acids in the body. The body can make twelve of these types but cannot make the other eight, which are called essential amino acids, so-named because it is essential that a person obtain them in their final form through the diet. A complete protein contains all essential amino acids and likely contains all or most of the other ones as well. Varying numbers of amino acids can bond together to make different sized molecules. Two amino acids bonded together form a dipeptide (DĪ-pep tīd); three amino acids form a tripeptide (TRĪ pep-tīd); 4-20 amino acids form an oligopeptide (OL-i-gō-pep-tīd; oligo, few); and >20 amino acids form a polypeptide. Some books reserve the name protein for polypeptides containing more than 50 amino acids.
Levels of Complexity in Proteins
The structure of a protein can exist at four different levels of complexity (see Figure 3-11):
- The primary level (prima, first) refers to the protein’s amino acid sequence; i.e., the specific order of different amino acids within the protein. The primary structure ultimately determines a protein’s shape and function.
- The secondary level results from coiling or creasing the amino acid chain to form a 3-di mensional shape.
- (3) A tertiary level (TER-shē-ār-rē; “third”) re sults when a secondary-level protein bends back on itself to form a more globe-like shape.
- A quaternary level (kwah-TER-na-rē; quarter, four) exists when two or more tertiary proteins unite.
Figure 3-11. Levels of complexity in a protein.
Denaturing a protein alters its 3-dimensional shape, which then alters the protein’s function. In some cases, denaturation is permanent (irreversible). You can witness permanent denaturation of a protein when you fry an egg. Albumin (al-BŪ-men) is the protein found in the clear part of an egg that turns white when heated (albu means “white”). Exposure to different pH levels or various chemicals can also denature proteins. See the levels of protein complexity in Figure 3-8.
Classification by Shape
Physiologists classify proteins by shape and by function. Based on shape, proteins are either globular or filamentous.
- Globular (GLOB-ū-lar; glob, sphere) pro teins resemble a sphere and may exist at the tertiary or quaternary level of complexity. Examples of globular proteins are enzymes, antibodies (which protect you from many disease-causing agents), and hemoglobin (HĒ mō-glō-bin), which is responsible for the red color of red blood cells.
- Filamentous proteins (fil-a-MEN-tus; filament, thread), also called fibrous proteins, are threadlike fibers consisting of secondary level proteins intertwined like a rope. Ex amples of filamentous proteins are keratin (KAIR-a-tin; found in skin, hair, and nails), col lagen (KOL-a-jen; helps hold organs together and is the most abundant protein in the body), and elastin (ē-LAS-tin; makes tissues elastic or stretchy).
Classification by Function
Any protein in the body can be classified into one on six groups of proteins based on function, and these groups include transport, regulatory, immunological, contractile, catalytic, and structural proteins. The acronym, TRICCS, can help you remember this classification.
- Transport proteins carry substances from one place to another. Hemoglobin is an example and transports gases throughout the body. In addition, certain proteins inside the membranes of cells can transport substances from one side of the membrane to the other.
- Regulatory proteins control the activity of a cell. For example, insulin (IN-su-lin) is a protein hormone that regulates the rate at which cells remove glucose from the blood.
- Immunological proteins (im-ū-nō-LOJ-i-kal) protect the body from potentially harmful, foreign particles. Antibodies (AN-ti-bod-ēz; anti, against) are immunological proteins that bind to bacteria and viruses to help prevent them from harming the body.
- Contractile proteins can shorten the length of a cell or cause the cell’s shape to change in other ways. Actin (AK-tin) and myosin (MĪ-ō sin) are contractile proteins that interact to shorten muscle cells when you contract your muscles.
- Catalytic proteins (kat-a-LIT-ik) are en zymes, which increase the rate of chemical reactions. The names of most enzymes end with the suffix “ase”. For example, sucrase (SŪ-krās) hydrolyzes sucrose to form glucose and fructose molecules; maltase splits malt ose into two glucose molecules, and lactase splits lactose into glucose and galactose. Thus, the name of an enzyme may suggest the en zyme’s action. Enzymes with names not end ing in “ase” are usually secreted in an inactive form and then activated later. For example, pepsin is an enzyme that hydrolyzes proteins in the stomach, but it is secreted as an inactive compound called pepsinogen. The pepsinogen becomes active only after exposure to acid in the stomach. Table 3-1 summarizes the major groups of enzymes.
- Structural proteins strengthen and support a structure. Examples include collagen and elastin fibers in the skin and tendons, and keratin in the skin, hair, and nails.
| General Name for Certain Enzyme | Function |
|---|---|
| Catalase (KAT-a-lās) | Breaks hydrogen peroxide (H2O2) into water and oxygen molecules |
| Dehydrogenase (dé-hi-DROJ-en-ās) | Removes H from a molecule |
| Hydrolase (Hī-dro-lās) | Hydrolyzes (breaks up) a larger compound to form smaller compounds |
| Kinase (Kī-nās) | Adds a phosphate group to a compound; i.e., it phosphorylates other compounds |
| Ligase (Lī-gās) | Joins two molecules using energy supplied from an ATP molecule |
| Phosphatase (FOS-fa-tās) | Removes a phosphate from a compound; i.e., it dephosphorylates a compound |
| Phosphorylase (fos-FOR-i-lās) | Adds a phosphate group to a compound |
| Polymerase (po-LIM-er-ās) | Combines monomers to form a polymer |
| Synthetase (SEN-the-tās) | Synthesizes a compound |
| Transferase (TRANS-fer-ās) | Transfers items from one compound to another compound |
NUCLEIC ACIDS
The last major group of organic compounds we will describe is nucleic acids (nū-KLĀ-ik), so-named because they are abundant in a cell’s nucleus. Nucleic acids are polymers consisting of monomers called nucleotides. A nucleotide (NŪ klē-ō-tīd) contains a simple, pentose sugar (either ribose or deoxyribose), a nitrogenous (nitrogen containing) base, and a phosphate group. The nitrogenous base within a nucleotide is either a purine or a pyrimidine. Purines (PŪR-ēnz) have two carbon rings, and include adenine (AD-e-nēn) and guanine (GWA-nēn), abbreviated A and G, respectively. Pyrimidines (pī-RIM-i-dēnz) have only one carbon ring and include cytosine (SĪ-tō sēn), thymine (THĪ-mēn), and uracil (YUR-ō sil), or C, T, and U, respectively (Figure 3-12).
Figure 3-12. Nucleotides
Nucleotides can connect to one another by covalent bonds and by hydrogen bonds. Covalent bonds form between the phosphate group of one nucleotide and the sugar of another nucleotide, whereas hydrogen bonds can form between a purine and pyrimidine. The nitrogenous bases always pair up in the following way: A with T, A with U, and G with C. These specific pairings are called complementary base pairing.
Due to covalent bonding, nucleotides can form a single-stranded polymer called a nucleic acid. A polymerase enzyme is responsible for bonding nucleotides together to form the nucleic acid. Note that the polymerase enzyme is a protein; therefore, it is also a polymer. One end of the nucleic acid or chain of nucleotides has a sugar molecule exposed and is called the 3’ (three-prime) end. The other end of the chain has a phosphate group exposed and is called the 5’ (five-prime) end. Remembering this will help you understand how polymerases construct nucleic acids.
Due to hydrogen bonding between comple mentary base pairs, a single-stranded nucleic acid can either (1) fold back on itself to take on a more 3-dimensional shape, or (2) bond to another single-stranded nucleic acid to form a double-stranded nucleic acid (Figure 3-13).
Figure 3-13. Nucleic acids
DNA, or deoxyribonucleic acid (dē-OK sē-RĪ-bō-nū-KLĀ-ik), consists of nucleotides containing a deoxyribose sugar, a phosphate group, and either A, T, C, or G; there are no uracils in DNA nucleotides. The DNA of living cells is always a double-stranded polymer with two parallel polymers of nucleotides held together by hydrogen bonds between complementary base pairs. This double-stranded DNA molecule coils into a form known as a double helix (helix means “coil”). Within viruses, which are not classified as organisms, the DNA may exist as either a single-stranded polymer (abbreviated ssDNA) or a double-stranded helix (abbreviated dsDNA).
RNA, or ribonucleic acid (RĪ-bō-nū-KLĀ ik) consists of nucleotides containing a ribose sugar, a phosphate group, and either A, U, C, or G (there are no thymines in RNA nucleotides). In living cells, RNA is always a single-stranded polymer instead of a double helix. Viruses may contain RNA that is either single stranded (ssRNA) or double stranded (dsRNA). The well-known human immunodeficiency virus (HIV), which causes acquired immune deficiency syndrome (AIDS), contains dsRNA.
ATP and GTP
Two important standalone nucleotides are adenosine triphosphate (ATP; a-DEN-ō-sēn trī-FOS-fāt) and guanosine triphosphate (GTP; GWAN-ō-sēn). ATP contains adenine, ribose, and three phosphates, whereas, GTP contains guanine, ribose, and three phosphates. ATP is the major “fuel” molecule that cells hydrolyze to release energy for work. Additionally, certain enzymes may use ATP or GTP as a source of phosphate in order to phosphorylate (add a phosphate to) other compounds. After phosphorylation, a compound may change shape and become activated or deactivated. Removing a phosphate from ATP or GTP produces ADP (adenosine diphosphate) and GDP, respectively. Removing two phosphates from ATP or GTP produces AMP (adenosine monophosphate) and GMP, respectively. Uses of ATP energy include the transfer of materials across cell membranes, dehydration synthesis, hydrolysis, and muscle movement. In Figure 3-14, a phosphate on ATP or GTP is transferred to molecule X. Thus, ATP or GTP is dephosphorylated while X becomes phosphorylated and changes shape.
Figure 3-14. ATP and GTP and effect of phosphorylation
Human Body Macromolecule Quiz
Flashcards
Master the fundamental concepts of Chemistry Overview.
Glossary
Comprehensive terminology for the Chemistry Overview chapter. Click on any term to see its definition.
